【药物名称】Diacetylrhein, Diacerhein, Diacerein, KW-4800, SF-277, Art 50, Fisiodar, Artrodar
化学结构式(Chemical Structure):
参考文献No.49315
标题:SF-277
作者:Neuman, M.
来源:Drugs Fut 1979,4(6),445
合成路线图解说明:

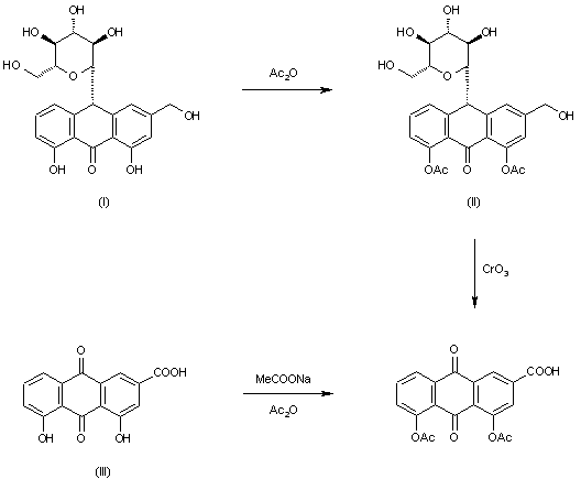
Compound can be prepared in two different ways: 1) By oxidation of acetylbarbaloin (II) with chromium trioxide. The acetylbarbaloin is obtained from barbaloin (I) with acetic anhydride. 2) By acetylation of 1,8-dihydroxyanthraquinone-3-carboxylic acid (III) with sodium acetate and acetic anhydride.

参考文献No.700964
标题:
作者:Robinson; Simonsen
来源:J Chem Soc 1909,1085
合成路线图解说明:

Compound can be prepared in two different ways: 1) By oxidation of acetylbarbaloin (II) with chromium trioxide. The acetylbarbaloin is obtained from barbaloin (I) with acetic anhydride. 2) By acetylation of 1,8-dihydroxyanthraquinone-3-carboxylic acid (III) with sodium acetate and acetic anhydride.

参考文献No.700965
标题:
作者:Oesterle
来源:Arch Pharm 1903,241607
合成路线图解说明:

Compound can be prepared in two different ways: 1) By oxidation of acetylbarbaloin (II) with chromium trioxide. The acetylbarbaloin is obtained from barbaloin (I) with acetic anhydride. 2) By acetylation of 1,8-dihydroxyanthraquinone-3-carboxylic acid (III) with sodium acetate and acetic anhydride.

参考文献No.800247
标题:Experiments on the constitution of the aloins. Part III
作者:Simonsen; Cahn
来源:J Chem Soc 1932,2573
合成路线图解说明:

Compound can be prepared in two different ways: 1) By oxidation of acetylbarbaloin (II) with chromium trioxide. The acetylbarbaloin is obtained from barbaloin (I) with acetic anhydride. 2) By acetylation of 1,8-dihydroxyanthraquinone-3-carboxylic acid (III) with sodium acetate and acetic anhydride.

Drug Information Express,Drug R&D,Chemical Database,Patent Search.
Copyright © 2006-2026 Drug Future. All rights reserved.Contact Us