【药物名称】Doxefazepam, SAS-643, Doxans
化学结构式(Chemical Structure):
参考文献No.49314
标题:SAS-643
作者:de Angelis, L.; Casta馿r, J.
来源:Drugs Fut 1978,3(2),145
合成路线图解说明:

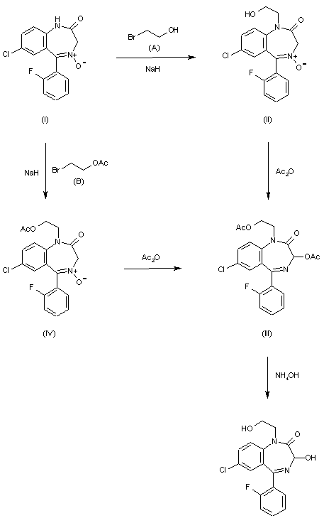
Compound can be prepared in two similar ways both starting from 7-chloro-1,3-dihydro-5-(o-fluorophenyl)-2H-1,4-benzodiazepin-2-one-4-oxide (I): 1) The condensation of (I) with 2-bromoethanol (A) by means of NaH in DMF gives the N-hydroxyethyl derivative (II), which by refluxing with acetic anhydride is converted into 7-chloro-1,3-dihydro-1-(2-acetoxyethyl)-3-acetoxy-5-(o-fluorophenyl)-2H-1,4-benzodiazepin-2-one (III). Finally, (III) is deacetylated with methanolic ammonia. 2) The condensation of (I) with 2-bromoethylacetate (B) as before gives the N-acetoxyethyl derivative (IV), which by refluxing with acetic anhydride is converted into (III).

参考文献No.604507
标题:A new series of benzodiazepines: 1-Hydroxyalkyl derivatives of 1,3-dihydro-2H-1,4-benzodiazepin-2-one
作者:Tamagnone, G.F.; et al.
来源:Arzneim-Forsch Drug Res 1975,25(5),720-722
合成路线图解说明:

Compound can be prepared in two similar ways both starting from 7-chloro-1,3-dihydro-5-(o-fluorophenyl)-2H-1,4-benzodiazepin-2-one-4-oxide (I): 1) The condensation of (I) with 2-bromoethanol (A) by means of NaH in DMF gives the N-hydroxyethyl derivative (II), which by refluxing with acetic anhydride is converted into 7-chloro-1,3-dihydro-1-(2-acetoxyethyl)-3-acetoxy-5-(o-fluorophenyl)-2H-1,4-benzodiazepin-2-one (III). Finally, (III) is deacetylated with methanolic ammonia. 2) The condensation of (I) with 2-bromoethylacetate (B) as before gives the N-acetoxyethyl derivative (IV), which by refluxing with acetic anhydride is converted into (III).

参考文献No.701019
标题:Benzodiazepine compounds for therapeutical use
作者:De Marchi, F.; Tamagnone, G.F.
来源:DE 2338058; ES 405260; FR 2194432; GB 1431282; JP 49080086
合成路线图解说明:

Compound can be prepared in two similar ways both starting from 7-chloro-1,3-dihydro-5-(o-fluorophenyl)-2H-1,4-benzodiazepin-2-one-4-oxide (I): 1) The condensation of (I) with 2-bromoethanol (A) by means of NaH in DMF gives the N-hydroxyethyl derivative (II), which by refluxing with acetic anhydride is converted into 7-chloro-1,3-dihydro-1-(2-acetoxyethyl)-3-acetoxy-5-(o-fluorophenyl)-2H-1,4-benzodiazepin-2-one (III). Finally, (III) is deacetylated with methanolic ammonia. 2) The condensation of (I) with 2-bromoethylacetate (B) as before gives the N-acetoxyethyl derivative (IV), which by refluxing with acetic anhydride is converted into (III).

参考文献No.800262
标题:A new benzodiazepine: 1-(2-hydroxyethyl)-3-hydroxy-7-chloro-1,3-dihydro-5-(o-fluorophenyl)-2H-1,4-benzodiazepine-2-one
作者:Tamagnone, G.F.; et al.
来源:J Pharm Pharmacol 1974,26566
合成路线图解说明:

Compound can be prepared in two similar ways both starting from 7-chloro-1,3-dihydro-5-(o-fluorophenyl)-2H-1,4-benzodiazepin-2-one-4-oxide (I): 1) The condensation of (I) with 2-bromoethanol (A) by means of NaH in DMF gives the N-hydroxyethyl derivative (II), which by refluxing with acetic anhydride is converted into 7-chloro-1,3-dihydro-1-(2-acetoxyethyl)-3-acetoxy-5-(o-fluorophenyl)-2H-1,4-benzodiazepin-2-one (III). Finally, (III) is deacetylated with methanolic ammonia. 2) The condensation of (I) with 2-bromoethylacetate (B) as before gives the N-acetoxyethyl derivative (IV), which by refluxing with acetic anhydride is converted into (III).

Drug Information Express,Drug R&D,Chemical Database,Patent Search.
Copyright © 2006-2026 Drug Future. All rights reserved.Contact Us