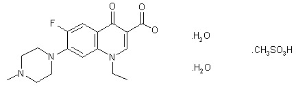
【药物名称】Pefloxacin, RB 1589, EU 5306, Peflacin, Peflacine
化学结构式(Chemical Structure):
参考文献No.49302
标题:Pefloxacin mesylate
作者:Bellon, A.
来源:Drugs Fut 1982,7(9),646
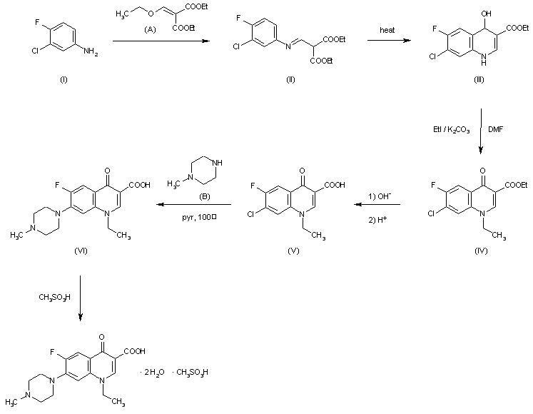
合成路线图解说明:

3-Chloro-4-fluoroaniline (I), condensed by heating at 125 C with diethyl ethoxymethylenemalonate (A), gives diethyl 3-chloro-4-fluoroanilinomethylenemalonate (II). The thermal cyclization of (II) by reflux in A Dowtherm gives ethyl 6-fluoro-7-chloro-4-hydroxyquinoline-3-carboxylate (III), which, alkylated by ethyliodide in DMF with potassium carbonate, leads to ethyl 1-ethyl-6 fluoro-7-chloro-4-oxo-1,4-dihydroquinoline-3-carboxylate (IV), purified by recrystallization. The ester (IV), after saponification and acidification, provides the corresponding acid (V). 1-Ethyl-6-fluoro-7-chloro-4-oxo-1,4-dihydroquinoline-3-carboxylic acid (V), heated to 100 C in pyridine with 1-methylpiperazine (B), leads to 1-ethyl-6-fluoro-7-(4-methyl-1-piperazinyl)-4-oxo-1,4-dihydroquinoline-3-carboxylic acid (VI). The salification of (VI) with methanesulfonic acid provides the salt.

参考文献No.803915
标题:Microbiologie: Sur un nouvel antibact閞ien de synth鑣e: lcid?閠hyl-2-fluoro-6-(m閠hyl-4-piperazinyl-1)-oxo-4-dihydro-1,4-quinol閕ne-3-carboxylique (1589 RB)
作者:Pesson, M.; Montay, G.; Goueffon, Y.; Roquet, F.
来源:CR Acad Sci Par韘 1981,292
合成路线图解说明:

3-Chloro-4-fluoroaniline (I), condensed by heating at 125 C with diethyl ethoxymethylenemalonate (A), gives diethyl 3-chloro-4-fluoroanilinomethylenemalonate (II). The thermal cyclization of (II) by reflux in A Dowtherm gives ethyl 6-fluoro-7-chloro-4-hydroxyquinoline-3-carboxylate (III), which, alkylated by ethyliodide in DMF with potassium carbonate, leads to ethyl 1-ethyl-6 fluoro-7-chloro-4-oxo-1,4-dihydroquinoline-3-carboxylate (IV), purified by recrystallization. The ester (IV), after saponification and acidification, provides the corresponding acid (V). 1-Ethyl-6-fluoro-7-chloro-4-oxo-1,4-dihydroquinoline-3-carboxylic acid (V), heated to 100 C in pyridine with 1-methylpiperazine (B), leads to 1-ethyl-6-fluoro-7-(4-methyl-1-piperazinyl)-4-oxo-1,4-dihydroquinoline-3-carboxylic acid (VI). The salification of (VI) with methanesulfonic acid provides the salt.

Drug Information Express,Drug R&D,Chemical Database,Patent Search.
Copyright © 2006-2026 Drug Future. All rights reserved.Contact Us