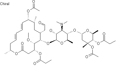
【药物名称】Midecamycin acetate, Miokamycin, 1532-RB, MOM, Mosil, Miocamycin, Miocamen, Macroral
化学结构式(Chemical Structure):
参考文献No.46332
标题:9,3'',4''-Triacylester of the antibiotic SF-837 M1 substance and the production thereof
作者:Inouye, S.; Omoto, S.; Iwamatsu, K.; Tsuruoka, T.; Niida, T.; Kawasaki, T. (Meiji Seika Kaisha, Ltd.)
来源:BE 0832813; DE 2537375; FR 2282903; GB 1520145; JP 55012040B; US 4017607
合成路线图解说明:

The acetylation of midecamycin (SF-837 antibiotic) (I) with acetic anhydride in hot pyridine (1,3), or with acetyl chloride and Molecular Sieve 4A-30 in dichloromethane (2,4) gives 9,2',3''-triacetylmidecamycin (II), which is partially deacetylated in hot aqueous methanol.

参考文献No.46333
标题:Process for the production of a 9,3''-diacyl derivative of a macrolide antibiotic
作者:Nakamura, T.; Nakabayashi, S.; Fukatsu, S.; Seki, S. (Meiji Seika Kaisha, Ltd.)
来源:DE 2835547; FR 2400524; GB 2003145; JP 54032493; US 4188480
合成路线图解说明:

The acetylation of midecamycin (SF-837 antibiotic) (I) with acetic anhydride in hot pyridine (1,3), or with acetyl chloride and Molecular Sieve 4A-30 in dichloromethane (2,4) gives 9,2',3''-triacetylmidecamycin (II), which is partially deacetylated in hot aqueous methanol.

参考文献No.49300
标题:Miokamycin
作者:Casta馿r, J.; Serradell, M.N.; Blancafort, P.
来源:Drugs Fut 1983,8(9),790
合成路线图解说明:

The acetylation of midecamycin (SF-837 antibiotic) (I) with acetic anhydride in hot pyridine (1,3), or with acetyl chloride and Molecular Sieve 4A-30 in dichloromethane (2,4) gives 9,2',3''-triacetylmidecamycin (II), which is partially deacetylated in hot aqueous methanol.

参考文献No.800116
标题:Modifications of a macrolide antibiotic midecamycin (SH-837). I. Synthesis and structure of 9,3''-diacetylmidecamycin
作者:Inouye, S.; Iwamatsu, K.; Niida, T.; Omoto, S.
来源:J Antibiot 1976,24(5),536-548
合成路线图解说明:

The acetylation of midecamycin (SF-837 antibiotic) (I) with acetic anhydride in hot pyridine (1,3), or with acetyl chloride and Molecular Sieve 4A-30 in dichloromethane (2,4) gives 9,2',3''-triacetylmidecamycin (II), which is partially deacetylated in hot aqueous methanol.

参考文献No.800117
标题:A convenient method for the preparation of the acylated macrolide antibiotic midecamycin using molecular sieves and acylchloride
作者:Fukatsu, S.; Seki, S.; Nakamura, T.; Niida, T.
来源:Chem Lett 1978,(11),1293-96
合成路线图解说明:

The acetylation of midecamycin (SF-837 antibiotic) (I) with acetic anhydride in hot pyridine (1,3), or with acetyl chloride and Molecular Sieve 4A-30 in dichloromethane (2,4) gives 9,2',3''-triacetylmidecamycin (II), which is partially deacetylated in hot aqueous methanol.

Drug Information Express,Drug R&D,Chemical Database,Patent Search.
Copyright © 2006-2026 Drug Future. All rights reserved.Contact Us