【药物名称】Prostaglandin D2, PGD2
化学结构式(Chemical Structure):
参考文献No.63557
标题:Prostaglandin D2
作者:Casta馿r, J.; Thorpe, P.
来源:Drugs Fut 1976,1(3),140
合成路线图解说明:

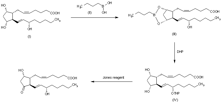
By reaction of prostaglandin F2alpha (I) with n-butylboronic acid (II) in methylene chloride to the cyclic boronate (III), which is treated first with dihydropyran, then with KOH in methanol and finally with H2O2 in water to give the tetrahydropiranyl ether (IV). This ether is finally oxidized with Jones reagent.

参考文献No.701527
标题:
作者:Hayashi, M.; Tabouchi, T.
来源:J Org Chem 1973,38(1),2115
合成路线图解说明:

By reaction of prostaglandin F2alpha (I) with n-butylboronic acid (II) in methylene chloride to the cyclic boronate (III), which is treated first with dihydropyran, then with KOH in methanol and finally with H2O2 in water to give the tetrahydropiranyl ether (IV). This ether is finally oxidized with Jones reagent.

参考文献No.800709
标题:Prostaglandin D2 as a potent antithrombotic agent
作者:Nishizawa, E.E.; et al.
来源:Prostaglandins 1975,9109
合成路线图解说明:

By reaction of prostaglandin F2alpha (I) with n-butylboronic acid (II) in methylene chloride to the cyclic boronate (III), which is treated first with dihydropyran, then with KOH in methanol and finally with H2O2 in water to give the tetrahydropiranyl ether (IV). This ether is finally oxidized with Jones reagent.

Drug Information Express,Drug R&D,Chemical Database,Patent Search.
Copyright © 2006-2026 Drug Future. All rights reserved.Contact Us