【药物名称】Enpiroline, WR-180409(phosphate)
化学结构式(Chemical Structure):
参考文献No.47837
标题:2-Aryl-6-trifluoromethyl-4-pyridylcarbinolamine antimalarials
作者:Ash, A.B.; et al. (Department of the Army)
来源:US 3886167
合成路线图解说明:

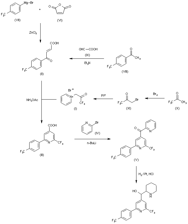
The cyclization of trifluoroacetylmethylpyridinium bromide (I) with 3-(4-trifluoromethylbenzoyl)acrylic acid (II) by means of ammonium acetate in refluxing methanol gives 2-trifluoromethyl-6-(4-trifluoromethylphenyl)isonicotinic acid (III), which by condensation with 2-bromopyridine (IV) by means of butyllithium in ethyl ether yields 2-trifluoromethyl-6-(4-trifluoromethylphenyl)4-pyridyl-2'-pyridyl ketone (V). Finally, this compound is reduced with H2 over Pt in aqueous concentrated HCl. The starting products are prepared as follows: 1) The acrylic acid (II) is obtained by condensation of maleic anhydride (VI) with 4-trifluoromethylphenylmagnesium bromide (VII) by means of ZnCl2 in refluxing ethyl ether. An alternative method is the condensation of 4-trifluoromethylacetophenone (VIII) with glyoxylic acid (IX) by means of triethylamine at 135 C. 2) The pyridinium salt (I) is prepared by bromination of 1,1,1-trifluoroacetone (X) giving 1,1,1-trifluoro-3-bromoacetone (XI), which is then condensed with pyridine.

参考文献No.47838
标题:2-Substituted phenyl-6-trifluoromethyl-4-pyridylcarbinolamines
作者:Ash, A.B.; et al. (Department of the Army)
来源:US 3940404
合成路线图解说明:

The cyclization of trifluoroacetylmethylpyridinium bromide (I) with 3-(4-trifluoromethylbenzoyl)acrylic acid (II) by means of ammonium acetate in refluxing methanol gives 2-trifluoromethyl-6-(4-trifluoromethylphenyl)isonicotinic acid (III), which by condensation with 2-bromopyridine (IV) by means of butyllithium in ethyl ether yields 2-trifluoromethyl-6-(4-trifluoromethylphenyl)4-pyridyl-2'-pyridyl ketone (V). Finally, this compound is reduced with H2 over Pt in aqueous concentrated HCl. The starting products are prepared as follows: 1) The acrylic acid (II) is obtained by condensation of maleic anhydride (VI) with 4-trifluoromethylphenylmagnesium bromide (VII) by means of ZnCl2 in refluxing ethyl ether. An alternative method is the condensation of 4-trifluoromethylacetophenone (VIII) with glyoxylic acid (IX) by means of triethylamine at 135 C. 2) The pyridinium salt (I) is prepared by bromination of 1,1,1-trifluoroacetone (X) giving 1,1,1-trifluoro-3-bromoacetone (XI), which is then condensed with pyridine.

参考文献No.47839
标题:2-Aryl-6-trifluoromethyl-4-pyridylcarbinolamine antimalarials
作者:Ash, A.B.; et al. (Department of the Army)
来源:US 3953463
合成路线图解说明:

The cyclization of trifluoroacetylmethylpyridinium bromide (I) with 3-(4-trifluoromethylbenzoyl)acrylic acid (II) by means of ammonium acetate in refluxing methanol gives 2-trifluoromethyl-6-(4-trifluoromethylphenyl)isonicotinic acid (III), which by condensation with 2-bromopyridine (IV) by means of butyllithium in ethyl ether yields 2-trifluoromethyl-6-(4-trifluoromethylphenyl)4-pyridyl-2'-pyridyl ketone (V). Finally, this compound is reduced with H2 over Pt in aqueous concentrated HCl. The starting products are prepared as follows: 1) The acrylic acid (II) is obtained by condensation of maleic anhydride (VI) with 4-trifluoromethylphenylmagnesium bromide (VII) by means of ZnCl2 in refluxing ethyl ether. An alternative method is the condensation of 4-trifluoromethylacetophenone (VIII) with glyoxylic acid (IX) by means of triethylamine at 135 C. 2) The pyridinium salt (I) is prepared by bromination of 1,1,1-trifluoroacetone (X) giving 1,1,1-trifluoro-3-bromoacetone (XI), which is then condensed with pyridine.

参考文献No.71683
标题:WR-180,409
作者:Casta馿r, J.; Roberts, P.J.
来源:Drugs Fut 1978,3(9),694
合成路线图解说明:

The cyclization of trifluoroacetylmethylpyridinium bromide (I) with 3-(4-trifluoromethylbenzoyl)acrylic acid (II) by means of ammonium acetate in refluxing methanol gives 2-trifluoromethyl-6-(4-trifluoromethylphenyl)isonicotinic acid (III), which by condensation with 2-bromopyridine (IV) by means of butyllithium in ethyl ether yields 2-trifluoromethyl-6-(4-trifluoromethylphenyl)4-pyridyl-2'-pyridyl ketone (V). Finally, this compound is reduced with H2 over Pt in aqueous concentrated HCl. The starting products are prepared as follows: 1) The acrylic acid (II) is obtained by condensation of maleic anhydride (VI) with 4-trifluoromethylphenylmagnesium bromide (VII) by means of ZnCl2 in refluxing ethyl ether. An alternative method is the condensation of 4-trifluoromethylacetophenone (VIII) with glyoxylic acid (IX) by means of triethylamine at 135 C. 2) The pyridinium salt (I) is prepared by bromination of 1,1,1-trifluoroacetone (X) giving 1,1,1-trifluoro-3-bromoacetone (XI), which is then condensed with pyridine.

参考文献No.607987
标题:Antimalarials. 6. Synthesis, antimalarial activity and configurations of rracemic alpha-(2-piperidyl)-4-pyridinemethanols
作者:La Montagne, M.P.; et al.
来源:J Med Chem 1974,17(5),219-523
合成路线图解说明:

The cyclization of trifluoroacetylmethylpyridinium bromide (I) with 3-(4-trifluoromethylbenzoyl)acrylic acid (II) by means of ammonium acetate in refluxing methanol gives 2-trifluoromethyl-6-(4-trifluoromethylphenyl)isonicotinic acid (III), which by condensation with 2-bromopyridine (IV) by means of butyllithium in ethyl ether yields 2-trifluoromethyl-6-(4-trifluoromethylphenyl)4-pyridyl-2'-pyridyl ketone (V). Finally, this compound is reduced with H2 over Pt in aqueous concentrated HCl. The starting products are prepared as follows: 1) The acrylic acid (II) is obtained by condensation of maleic anhydride (VI) with 4-trifluoromethylphenylmagnesium bromide (VII) by means of ZnCl2 in refluxing ethyl ether. An alternative method is the condensation of 4-trifluoromethylacetophenone (VIII) with glyoxylic acid (IX) by means of triethylamine at 135 C. 2) The pyridinium salt (I) is prepared by bromination of 1,1,1-trifluoroacetone (X) giving 1,1,1-trifluoro-3-bromoacetone (XI), which is then condensed with pyridine.

Drug Information Express,Drug R&D,Chemical Database,Patent Search.
Copyright © 2006-2026 Drug Future. All rights reserved.Contact Us