【药物名称】Meobentine sulfate
化学结构式(Chemical Structure):
参考文献No.47580
标题:Substituted guanidine compounds as antifibrillatory agents
作者:Maxwell, R.A.; Walton, E. (Glaxo Wellcome Inc.)
来源:US 3949089
合成路线图解说明:

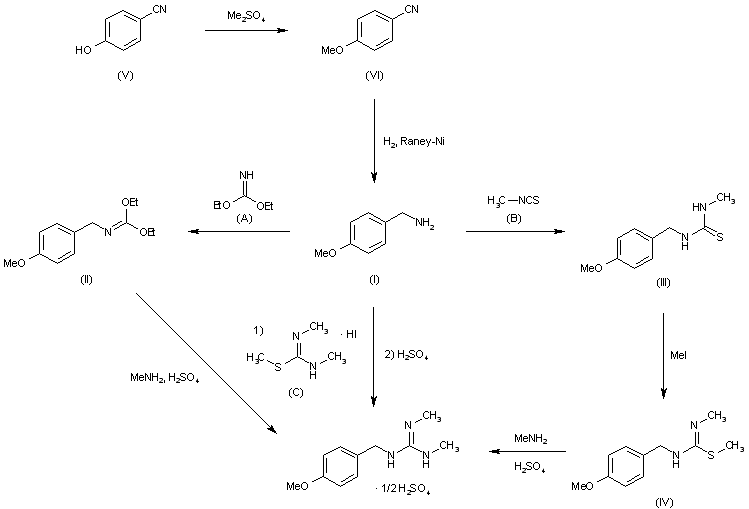
Compound can be prepared in three different ways all starting from 4-methoxybenzylamine (I) [prepared by methylation of 4-hydroxybenzonitrile (V) with dimethyl sulfate in aqueous NaOH to afford 4-methoxybenzonitrile (VI), which is then hydrogenated with H2 over Raney-Ni in ethanol]: 1) By condensation of 4-methoxybenzylamine (I) with N,N',S-trimethylisothiourea hydroiodide (C) in refluxing ethanol, followed by treatment with H2SO4. 2) By reaction of 4-methoxybenzylamine (I) with diethyl iminocarbonate (A) in water to give diethyl N-(4-methoxybenzyl)iminocarbonate (II), followed by treatment with methylamine in water - ethanol - H2SO4. 3) By reaction of 4-methoxybenzylamine (I) with methyl isothiocyanate (B) in ether to yield N-(4-methoxybenzyl)-N'-methylthiourea (III), which is then methylated with MeI in refluxing methanol affording N-(4-methoxybenzyl)-N',S-dimethylisothiourea (IV). Finally, this compound is treated first with methylamine in refluxing methanol and then with H2SO4.

参考文献No.63588
标题:Meobentine
作者:Casta馿r, J.; Blancafort, P.
来源:Drugs Fut 1978,3(3),204
合成路线图解说明:

Compound can be prepared in three different ways all starting from 4-methoxybenzylamine (I) [prepared by methylation of 4-hydroxybenzonitrile (V) with dimethyl sulfate in aqueous NaOH to afford 4-methoxybenzonitrile (VI), which is then hydrogenated with H2 over Raney-Ni in ethanol]: 1) By condensation of 4-methoxybenzylamine (I) with N,N',S-trimethylisothiourea hydroiodide (C) in refluxing ethanol, followed by treatment with H2SO4. 2) By reaction of 4-methoxybenzylamine (I) with diethyl iminocarbonate (A) in water to give diethyl N-(4-methoxybenzyl)iminocarbonate (II), followed by treatment with methylamine in water - ethanol - H2SO4. 3) By reaction of 4-methoxybenzylamine (I) with methyl isothiocyanate (B) in ether to yield N-(4-methoxybenzyl)-N'-methylthiourea (III), which is then methylated with MeI in refluxing methanol affording N-(4-methoxybenzyl)-N',S-dimethylisothiourea (IV). Finally, this compound is treated first with methylamine in refluxing methanol and then with H2SO4.

Drug Information Express,Drug R&D,Chemical Database,Patent Search.
Copyright © 2006-2026 Drug Future. All rights reserved.Contact Us