【药物名称】Suriclone, RP-31264, 31264-RP, Suril
化学结构式(Chemical Structure):
参考文献No.46477
标题:1,4-Dithiimo[2,3-c]pyrrole derivatives
作者:Jeanmart, C.; Leger, A.; Messer, M.N. (Aventis Pharma SA)
来源:CA 989841; DE 2360362; FR 2208651; FR 2209129; FR 2258182; GB 1397060; JP 7493392; NL 7316162; US 3948917; US 3966931; ZA 7309139
合成路线图解说明:

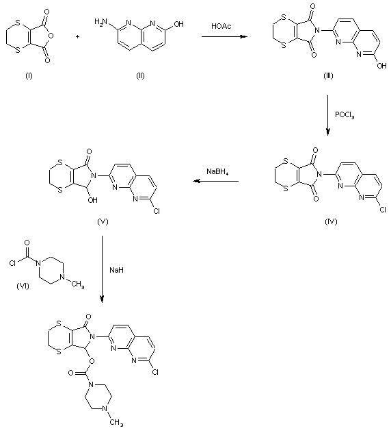
The cyclization of 5,6-dihydro-1,4-dithiine-2,3-dicarboxylic acid anhydride (I) with 2-amino-7-hydroxy-1,8-naphthyridine (II) by means of acetic acid in refluxing diphenyl-diphenyl ether gives 6-(7-hydroxy-1,8-naphthyridin-2-yl)-2,3,6,7-tetrahydro-1,4-dithiino[2,3-c]pyrrole-5,7-dione (III), which is treated with POCl3 in hot DMF to yield 6-(7-chloro-1,8-naphthyridin-2-yl)-2,3,6,7-tetrahydro-1,4-dithiino[2,3-c]pyrrole-5,7-dione (IV). The reduction of (IV) with NaBH4 in methanol affords 6-(7-chloro-1,8-naphthyridin-2-yl)-5-hydroxy-2,3,6,7-tetrahydro-1,4-dithiino[2,3-c]pyrrol-7-one (V), which is finally condensed with 1-chlorocarbonyl-4-methylpiperazine (VI) by means of NaH in DMF.

参考文献No.63616
标题:Suriclone
作者:Casta馿r, J.; Serradell, M.N.; Souto, M.E.
来源:Drugs Fut 1984,9(3),206
合成路线图解说明:

The cyclization of 5,6-dihydro-1,4-dithiine-2,3-dicarboxylic acid anhydride (I) with 2-amino-7-hydroxy-1,8-naphthyridine (II) by means of acetic acid in refluxing diphenyl-diphenyl ether gives 6-(7-hydroxy-1,8-naphthyridin-2-yl)-2,3,6,7-tetrahydro-1,4-dithiino[2,3-c]pyrrole-5,7-dione (III), which is treated with POCl3 in hot DMF to yield 6-(7-chloro-1,8-naphthyridin-2-yl)-2,3,6,7-tetrahydro-1,4-dithiino[2,3-c]pyrrole-5,7-dione (IV). The reduction of (IV) with NaBH4 in methanol affords 6-(7-chloro-1,8-naphthyridin-2-yl)-5-hydroxy-2,3,6,7-tetrahydro-1,4-dithiino[2,3-c]pyrrol-7-one (V), which is finally condensed with 1-chlorocarbonyl-4-methylpiperazine (VI) by means of NaH in DMF.

Drug Information Express,Drug R&D,Chemical Database,Patent Search.
Copyright © 2006-2026 Drug Future. All rights reserved.Contact Us