【药物名称】Triazolinone, Clopradone, Etoperidone hydrochloride, McN-A-2673-11, ST-1191, Staff
化学结构式(Chemical Structure):
参考文献No.63624
标题:Etoperidone
作者:de Angelis, L.; Casta馿r, J.
来源:Drugs Fut 1977,2(3),164
合成路线图解说明:

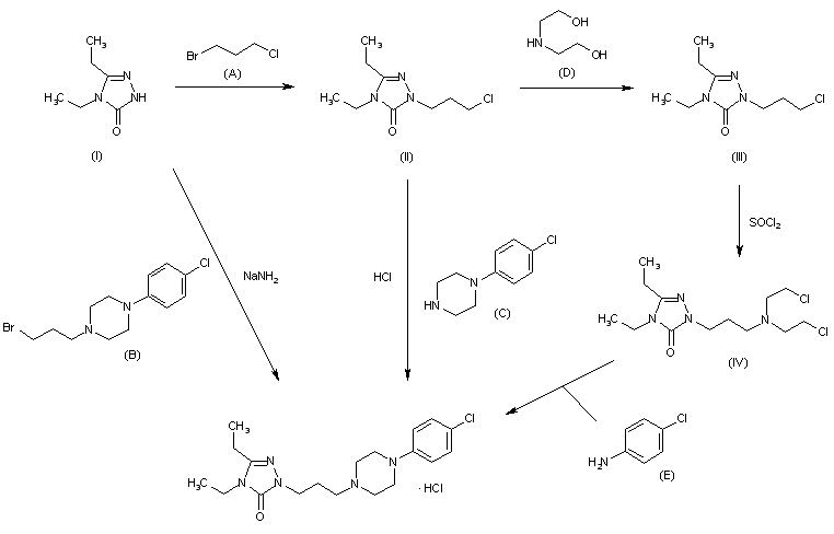
Compound can be prepared in several different ways, all starting from 3,4-diethyl-DELTA2-1,2,4-triazolin-5-one (I): 1) The condensation of (I) with N-(3-bromopropyl)-N'-(m-chlorophenyl)piperazine (B) by means of NaNH2, NaH or sodium alcoholate in an organic solvent (DMSO, DMF, dioxane, benzene, alcohol, tetralin, etc.). 2) The condensation of (I) with 1-chloro-3-bromopropane (A) by means of sodium alcoholate in alcohol gives 1-(3-chloropropyl)-3,4-diethyl-DELTA2-1,2,4-triazolin-5-one (II), which is then condensed with an inert solvent by means of HCl acceptor. 3) The condensation of (II) with diethanolamine (C) affords 1-(3-bishydroxyethylaminopropyl)-3,4-diethyl-DELTA2-1,2,4-triazolin-5-one (III), which is then converted into the corresponding dichlorocompound (IV) by means of SOCl2. Finally, (IV) is cyclized with m-chloroaniline (E).

参考文献No.701076
标题:1-[3-(4-Metrachlorophenyl-1-piperazinyl)propyl]-3,4-diethyl-delta2-1,2,4-triazolin-5-one
作者:Palazzo, G.
来源:DE 2351739; FR 2202702; GB 1438337; US 3857845
合成路线图解说明:

Compound can be prepared in several different ways, all starting from 3,4-diethyl-DELTA2-1,2,4-triazolin-5-one (I): 1) The condensation of (I) with N-(3-bromopropyl)-N'-(m-chlorophenyl)piperazine (B) by means of NaNH2, NaH or sodium alcoholate in an organic solvent (DMSO, DMF, dioxane, benzene, alcohol, tetralin, etc.). 2) The condensation of (I) with 1-chloro-3-bromopropane (A) by means of sodium alcoholate in alcohol gives 1-(3-chloropropyl)-3,4-diethyl-DELTA2-1,2,4-triazolin-5-one (II), which is then condensed with an inert solvent by means of HCl acceptor. 3) The condensation of (II) with diethanolamine (C) affords 1-(3-bishydroxyethylaminopropyl)-3,4-diethyl-DELTA2-1,2,4-triazolin-5-one (III), which is then converted into the corresponding dichlorocompound (IV) by means of SOCl2. Finally, (IV) is cyclized with m-chloroaniline (E).

Drug Information Express,Drug R&D,Chemical Database,Patent Search.
Copyright © 2006-2026 Drug Future. All rights reserved.Contact Us