【药物名称】Zetidoline, DL-308
化学结构式(Chemical Structure):
参考文献No.47484
标题:2-Imidazolidione derivatives
作者:Fontanella, L.; Maffii, G. (Lepetit SpA)
来源:US 4011238
合成路线图解说明:

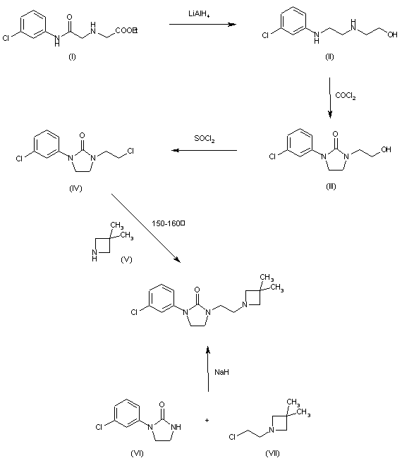
This compound can be obtained in two different ways: 1) The reduction of m-chlorophenylcarbamylmethylaminoacetic acid ethyl ester (I) with LiAlH4 in ether gives 2-(m-chlorophenylamino)ethylamino ethanol (II), which is cyclized by reaction with Cl2CO and KOH in toluene to afford 1-(m-chlorophenyl)-3-(2-hydroxyethyl)imidazolidin-2-one (III). The reaction of (III) with SOCl2 in refluxing chloroform yields 1-(m-chlorophenyl)-3-(2-chloroethyl)imidazolidin-2-one (IV), which is finally condensed with 3,3-dimethylazetidine (V) by heating at 150-60 C in benzene in a pressure vessel. 2) By condensation of 1-(m-chlorophenyl)imidazolidin-2-one (VI) with 1-(2-chloroethyl)-3,3-dimethylazetidine (VII) by means of NaH in DMF at 80.5 C.

参考文献No.63717
标题:Zetidoline
作者:Blancafort, P.; Serradell, M.N.; Casta馿r, J.; McGillion, F.B.
来源:Drugs Fut 1981,6(3),162
合成路线图解说明:

This compound can be obtained in two different ways: 1) The reduction of m-chlorophenylcarbamylmethylaminoacetic acid ethyl ester (I) with LiAlH4 in ether gives 2-(m-chlorophenylamino)ethylamino ethanol (II), which is cyclized by reaction with Cl2CO and KOH in toluene to afford 1-(m-chlorophenyl)-3-(2-hydroxyethyl)imidazolidin-2-one (III). The reaction of (III) with SOCl2 in refluxing chloroform yields 1-(m-chlorophenyl)-3-(2-chloroethyl)imidazolidin-2-one (IV), which is finally condensed with 3,3-dimethylazetidine (V) by heating at 150-60 C in benzene in a pressure vessel. 2) By condensation of 1-(m-chlorophenyl)imidazolidin-2-one (VI) with 1-(2-chloroethyl)-3,3-dimethylazetidine (VII) by means of NaH in DMF at 80.5 C.

Drug Information Express,Drug R&D,Chemical Database,Patent Search.
Copyright © 2006-2026 Drug Future. All rights reserved.Contact Us