【药物名称】Suprofen, TYN-762P(as Poultice), R-25061, Profenal, Suprol, Suprocil, Maldocil
化学结构式(Chemical Structure):
参考文献No.63629
标题:Suprofen
作者:Casta馿r, J.; Chatterjee, S.S.
来源:Drugs Fut 1976,1(3),148
合成路线图解说明:

The reaction of 2-thiophenecarbonyl chloride (I) with fluorobenzene (A) by means of AlCl3 gives (4-fluorophenyl)(2-thienyl)ketone (II), which is then condensed with diethyl methylmalonate (B) by means of NaH in benzene-HMPA to yield diethyl 2-methyl-2-[4-(2-thienylcarbonyl)phenyl]malonate (III); this product is finally hydrolyzed and partially decarboxylated with refluxing aqueous NaOH.

合成路线图解说明:

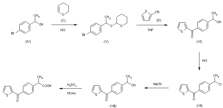
The reaction of 1-(4-bromophenyl)ethanol (IV) with 3,4-dihydro-2H-pyran (C) by means of HCl yields 2-[1-(4-bromophenyl)ethoxy]tetrahydro-2H-pyran (V); this product by condensation with 2-thiophenecarbonitrile (D) through its Grignard complex in THF gives [4-(1-hydroxyethyl)phenyl](2-thienyl)ketone (VI), which without purification is treated with SOCl2 in benzene to give [4-(1-chloroethyl)phenyl](2-thienyl)ketone (VII); then the halogen is substituted by CN with NaCN in DMSO to afford alpha-methyl-4-(2-thienylcarbonyl)benzeneacetonitrile (VIII), which, without purification, is hydrolyzed with H2SO4 and acetic acid.

合成路线图解说明:

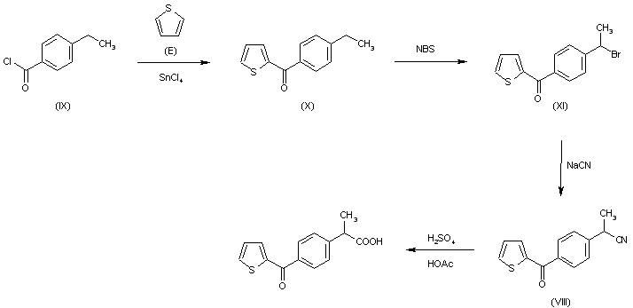
The condensation of thiophene (E) and 4-ethylbenzoyl chloride (IX) by means of SnCl4 in CH2Cl2 gives (4-ethylphenyl)(2-thienyl)ketone (X), which is brominated with N-bromosuccidine and benzoyl peroxide in CCl4 to [4-(1-bromoethyl)phenyl](2-thienyl)ketone (XI); then this product is treated with NaCN in DMSO to obtain the acetonitrile (VIII), which, without purification, is hydrolyzed with H2SO4 and acetic acid.

参考文献No.604482
标题:Synthesis of alpha-methyl-4-(2-thienylcarbonyl)benzene acetic acid, suprofen and derivatives
作者:Van Daele, P.G.H.; et al.
来源:Arzneim-Forsch Drug Res 1975,25(10),1495-1501
合成路线图解说明:

The reaction of 2-thiophenecarbonyl chloride (I) with fluorobenzene (A) by means of AlCl3 gives (4-fluorophenyl)(2-thienyl)ketone (II), which is then condensed with diethyl methylmalonate (B) by means of NaH in benzene-HMPA to yield diethyl 2-methyl-2-[4-(2-thienylcarbonyl)phenyl]malonate (III); this product is finally hydrolyzed and partially decarboxylated with refluxing aqueous NaOH.

合成路线图解说明:

The reaction of 1-(4-bromophenyl)ethanol (IV) with 3,4-dihydro-2H-pyran (C) by means of HCl yields 2-[1-(4-bromophenyl)ethoxy]tetrahydro-2H-pyran (V); this product by condensation with 2-thiophenecarbonitrile (D) through its Grignard complex in THF gives [4-(1-hydroxyethyl)phenyl](2-thienyl)ketone (VI), which without purification is treated with SOCl2 in benzene to give [4-(1-chloroethyl)phenyl](2-thienyl)ketone (VII); then the halogen is substituted by CN with NaCN in DMSO to afford alpha-methyl-4-(2-thienylcarbonyl)benzeneacetonitrile (VIII), which, without purification, is hydrolyzed with H2SO4 and acetic acid.

合成路线图解说明:

The condensation of thiophene (E) and 4-ethylbenzoyl chloride (IX) by means of SnCl4 in CH2Cl2 gives (4-ethylphenyl)(2-thienyl)ketone (X), which is brominated with N-bromosuccidine and benzoyl peroxide in CCl4 to [4-(1-bromoethyl)phenyl](2-thienyl)ketone (XI); then this product is treated with NaCN in DMSO to obtain the acetonitrile (VIII), which, without purification, is hydrolyzed with H2SO4 and acetic acid.

Drug Information Express,Drug R&D,Chemical Database,Patent Search.
Copyright © 2006-2026 Drug Future. All rights reserved.Contact Us