【药物名称】Sinefungin, Compound-57926, A-9145, Antibiotic 32232RP
化学结构式(Chemical Structure):
参考文献No.380244
标题:Total synthesis of (+)-sinefungin
作者:Ghosh, A.K.; Liu, W.M.
来源:J Org Chem 1996,61(18),6175
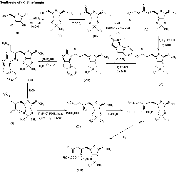
合成路线图解说明:

A total synthesis of (+)-sinefungin has been reported: The reaction of D-ribose (I) with acetone and methanol by means of CuSO4 and a catalytic amount of H2SO4 gives methyl 2,3-O-isopropylidene-beta-D-ribofuranoside (II), which is oxidized to the aldehyde (III) with oxalyl chloride in DMSO/dichloromethane. The Wittig condensation of (III) with triethyl phosphonoacetate (IV) by means of NaH in THF affords the unsaturated ester (V), which is hydrogenated with H2 over Pd/C in ethyl acetate and saponified with LiOH in methanol/water to give the propionic acid (VI). The condensation of (VI) with the chiral oxazolidone (VII) by means of pivaloyl chloride and triethylamine in THF yields the oxalidone (VIII). The stereoselective alkylation of (VIII) with allyl bromide by means of lithium hexamethyldisylazide in THF affords the 2(S)-allyl derivative (IX), which is hydrolyzed with LiOH in THF/water to the corresponding free acid (X). The Curtius degradation of the acid (X) by means of diphenyl phosphorazidate and benzyl alcohol gives the corresponding benzyloxycarbonylamino derivative (XI), which is benzylated with benzyl bromide to the fully protected compound (XII). The ozonolysis of the allyl double bond of (XII) with O3 in methanol/dichloromethane yields the aldehyde (XIII).

合成路线图解说明:

The aldehyde (XIII) is submitted to a Wittig condensation with N-acetyl-2-(diphenylphosphoryl)glycine (XIV) and potassium tert-butoxide in dichloromethane giving a mixture of the (Z)- and (E)-isomers (XV) and (XVI), respectively. The regiocontrolled hydrogenation of this mixture with H2 over a chiral rhodium catalyst in methanol yields the saturated (S,S)-isomer (XVII), which is submitted to a selective deprotection of its sugar moiety, followed by acetylation of the resulting free hydroxy groups with acetic anhydride in dioxane to afford the triacetoxy compound (XVIII). The condensation of (XVIII) with N6-benzoyladenine (XIX) by means of trimethylsilyl trifluoromethanesulfonate gives the adenosine derivative (XX), which is treated with K2CO3 and hydrazine to eliminate the acetyl and benzoyl groups yielding (XXI). Finally, this compound is debenzylated by hydrogenation with H2 over Pd/C in methanol.

Drug Information Express,Drug R&D,Chemical Database,Patent Search.
Copyright © 2006-2026 Drug Future. All rights reserved.Contact Us