【药物名称】Pinacidil, S-1230, P-1134, Pindac
化学结构式(Chemical Structure):
参考文献No.13971
标题:Antihypertensive pyridylguanidine compounds
作者:Petersen, H.J. (Leo Pharmaceutical Products Ltd. A/S)
来源:DE 2557438; FR 2294703; GB 1489879; JP 51086474; US 4057636
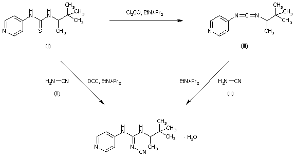
合成路线图解说明:

This compound can be obtained in two related ways: 1) By reaction of N-(4-pyridyl)-N'-(1,2,2-trimethylpropyl)thiourea (I) with cyanamide (II) by means of dicyclohexylcarbodiimide (DCC) and ethyldiisopropylamine in ether. 2) The reaction of (I) with phosgene in toluene - THF by means of ethyldiisopropylamine in THF gives N-(4-pyridyl)-N'-(1,2,2-trimethylpropyl)carbodiimide (III), which is condensed with (II) by means of ethyldiisopropylamine.

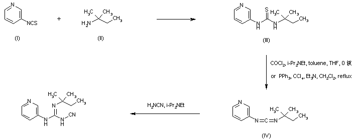
合成路线图解说明:

Thiourea (III) was prepared by condensation of 3-pyridyl isothiocyanate (I) with 1,1-dimethylpropyl amine (II). Desulfuration of thiourea (III) by means of phosgene and diisopropyl ethylamine, or triphenylphosphine and CCl4 gave rise to the carbodiimide (IV). Finally, addition of cyanamide to carbodiimide (IV) furnished the target N-cyanoguanidine derivative

参考文献No.49281
标题:P-1134
作者:Blancafort, P.; Casta馿r, J.; Serradell, M.N.; Hopkins, S.J.
来源:Drugs Fut 1981,6(3),149
合成路线图解说明:

This compound can be obtained in two related ways: 1) By reaction of N-(4-pyridyl)-N'-(1,2,2-trimethylpropyl)thiourea (I) with cyanamide (II) by means of dicyclohexylcarbodiimide (DCC) and ethyldiisopropylamine in ether. 2) The reaction of (I) with phosgene in toluene - THF by means of ethyldiisopropylamine in THF gives N-(4-pyridyl)-N'-(1,2,2-trimethylpropyl)carbodiimide (III), which is condensed with (II) by means of ethyldiisopropylamine.

Drug Information Express,Drug R&D,Chemical Database,Patent Search.
Copyright © 2006-2026 Drug Future. All rights reserved.Contact Us