【药物名称】Sparfosic acid, USNUS-08, CI-882(disodium salt), PALA, NSC-224131
化学结构式(Chemical Structure):
参考文献No.63584
标题:PALA
作者:Blancafort, P.; Casta馿r, J.; Kuhn, J.; Serradell, M.N.; Magnuson, D.
来源:Drugs Fut 1981,6(3),152
合成路线图解说明:

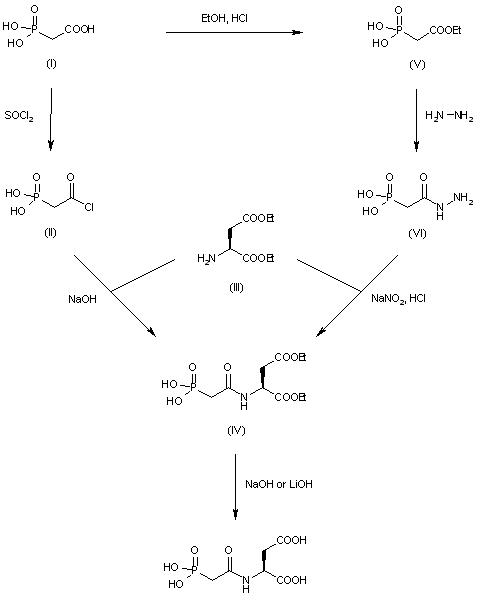
This compound can be prepared by two related ways: 1) The reaction of phophonoacetic acid (I) with SOCl2 at 50 C gives phosphonoacetyl chloride (II), which is condensed with diethyl aspartate (III) by means of NaOH in water affording diethyl (phosphonoacetyl)-L-aspartate (IV). Finally, this compound is hydrolyzed with LiOH or NaOH in water. 2) Compound (I) can be esterified with ethanol and dry HCl giving ethyl phosphonoacetate (V), which by reaction with hydrazine is converted into phosphonoacetyl hydrazide (VI). Finally, this compound is condensed with (III) by means of NaNO2 and HCl in DMF-water to afford (IV).

参考文献No.800105
标题:New synthesis of PALA
作者:Montero, J.L.; Imbach, J.L.
来源:Eur J Med Chem - Chim Ther 1982,17(1),97-99
合成路线图解说明:

A new procedure for the synthesis of PALA has been described. The reaction of dimethyl aspartate hydrochloride (Ia) with monochloroacetic anhydride (II) in dichloromethane gives dimethyl N-chloroacetyl-L-aspartate (IIIa), which is treated with tris(trimethylsilyl)phosphite (IV) to afford dimethyl N-bis(trimethylsilyl)phosphoacetyl-L-aspartate (Va). Compound (Va) is dissolved in water and lyophilized to give dimethyl N-phosphonoacetyl-L-aspartate (VIa), which is first treated with 2N NaOH, passed through a cationic exchange resin (Dowex AG 50 W-X8) and then lyophilized to give PALA as the disodium salt. The same synthesis can also be performed from diethyl aspartate hydrochloride (Ib).

参考文献No.800207
标题:N-(Phosphonacetyl)-L-asparartate, a potent transition state analog inhibitor of aspartate transcarbamylase, blocks proliferation of mammalian cells in culture
作者:Swyryd, E.A.; et al.
来源:J Biol Chem 1974,2496945-50
合成路线图解说明:

This compound can be prepared by two related ways: 1) The reaction of phophonoacetic acid (I) with SOCl2 at 50 C gives phosphonoacetyl chloride (II), which is condensed with diethyl aspartate (III) by means of NaOH in water affording diethyl (phosphonoacetyl)-L-aspartate (IV). Finally, this compound is hydrolyzed with LiOH or NaOH in water. 2) Compound (I) can be esterified with ethanol and dry HCl giving ethyl phosphonoacetate (V), which by reaction with hydrazine is converted into phosphonoacetyl hydrazide (VI). Finally, this compound is condensed with (III) by means of NaNO2 and HCl in DMF-water to afford (IV).

参考文献No.800208
标题:Aspartate transcarbamylase. Interaction with the transition state analoge N-(phosphonacetyl)-L-asparartate
作者:Collins, K.D.; Stark, G.R.
来源:J Biol Chem 1971,2466599
合成路线图解说明:

This compound can be prepared by two related ways: 1) The reaction of phophonoacetic acid (I) with SOCl2 at 50 C gives phosphonoacetyl chloride (II), which is condensed with diethyl aspartate (III) by means of NaOH in water affording diethyl (phosphonoacetyl)-L-aspartate (IV). Finally, this compound is hydrolyzed with LiOH or NaOH in water. 2) Compound (I) can be esterified with ethanol and dry HCl giving ethyl phosphonoacetate (V), which by reaction with hydrazine is converted into phosphonoacetyl hydrazide (VI). Finally, this compound is condensed with (III) by means of NaNO2 and HCl in DMF-water to afford (IV).

Drug Information Express,Drug R&D,Chemical Database,Patent Search.
Copyright © 2006-2026 Drug Future. All rights reserved.Contact Us