【药物名称】Nimesulide, NIM-03, R-805, Nise Gel, Orthobid, Guaxan, Antifloxil, Nimedex, Nisulid, Nimed, Aldoron, Mesulid, Aulin
化学结构式(Chemical Structure):
参考文献No.49276
标题:R-805
作者:Casta馿r, J.; Chatterjee, S.S.
来源:Drugs Fut 1976,1(3),145
合成路线图解说明:

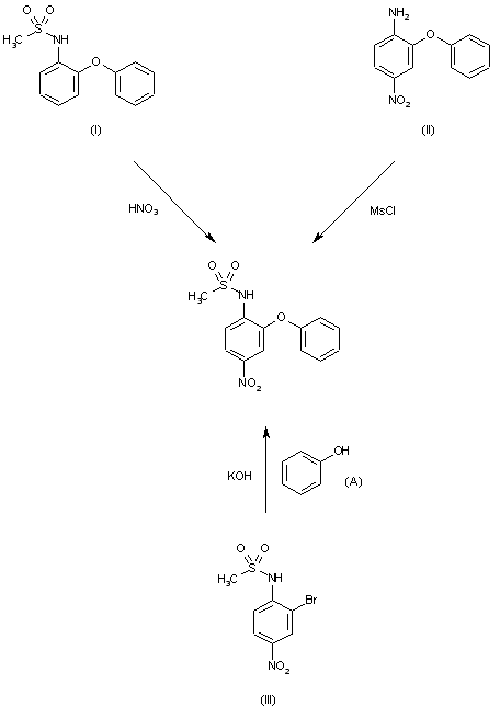
Compound can be prepared in three different ways: 1) By nitration of 2-phenoxymethanesulfonanilide (I) with nitric acid in acetic acid. 2) By condensation of 2-phenoxy-4-nitroaniline (II) with methanesulfonyl chloride in pyridine. 3) By condensation of 2-bromo-4-nitromethanesulfonanilide (III) with phenol (A) by means of KOH and pyridine in benzene.

参考文献No.701119
标题:Substituted 2-phenoxy alkanesulfonanilides
作者:Moore, G.; Harrington, J.K.
来源:US 3840597
合成路线图解说明:

Compound can be prepared in three different ways: 1) By nitration of 2-phenoxymethanesulfonanilide (I) with nitric acid in acetic acid. 2) By condensation of 2-phenoxy-4-nitroaniline (II) with methanesulfonyl chloride in pyridine. 3) By condensation of 2-bromo-4-nitromethanesulfonanilide (III) with phenol (A) by means of KOH and pyridine in benzene.

参考文献No.701120
标题:2-Phenoxy alkyl sulphonalides
作者:
来源:DE 2333643; FR 2190460; GB 1435755; JP 57136560; JP 57140712
合成路线图解说明:

Compound can be prepared in three different ways: 1) By nitration of 2-phenoxymethanesulfonanilide (I) with nitric acid in acetic acid. 2) By condensation of 2-phenoxy-4-nitroaniline (II) with methanesulfonyl chloride in pyridine. 3) By condensation of 2-bromo-4-nitromethanesulfonanilide (III) with phenol (A) by means of KOH and pyridine in benzene.

Drug Information Express,Drug R&D,Chemical Database,Patent Search.
Copyright © 2006-2026 Drug Future. All rights reserved.Contact Us