【药物名称】M-12325
化学结构式(Chemical Structure):
参考文献No.63669
标题:M-12,325
作者:Hopkins, S.J.; Casta馿r, J.; Serradell, M.N.; Blancafort, P.
来源:Drugs Fut 1983,8(3),206
合成路线图解说明:

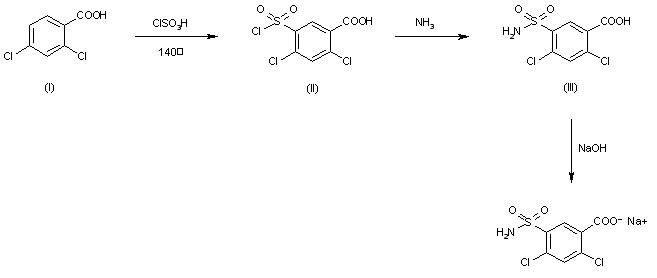
The sulfonation of 2,4-dichlorobenzoic acid (I) with chlorosulfonic acid (II) at 140 C gives 5-chlorosulfonyl-2,4-dichlorobenzoic acid (III), which by reaction with liquid NH3 is converted into 5-sulfamoyl-2,4-dichlorobenzoic acid (IV). Finally, this compound is treated with NaOH.

参考文献No.800332
标题:Diuretic agents. VI. Some sulfamoylbenzoic acids
作者:Stephenson, O.; Wild, A.M.; Petrow, V.; Jackman, G.B.
来源:J Pharm Pharmacol 1962,14679-686
合成路线图解说明:

The sulfonation of 2,4-dichlorobenzoic acid (I) with chlorosulfonic acid (II) at 140 C gives 5-chlorosulfonyl-2,4-dichlorobenzoic acid (III), which by reaction with liquid NH3 is converted into 5-sulfamoyl-2,4-dichlorobenzoic acid (IV). Finally, this compound is treated with NaOH.

参考文献No.800333
标题:Chemistry of furosemide. I. Syntheses of 5-sulfamoylanthranilic acid derivatives
作者:Rusching, H.; Siedel, W.; Sturm, K.; Weyer, R.
来源:Chem Ber 1966,99(1),328-344
合成路线图解说明:

The sulfonation of 2,4-dichlorobenzoic acid (I) with chlorosulfonic acid (II) at 140 C gives 5-chlorosulfonyl-2,4-dichlorobenzoic acid (III), which by reaction with liquid NH3 is converted into 5-sulfamoyl-2,4-dichlorobenzoic acid (IV). Finally, this compound is treated with NaOH.

参考文献No.800334
标题:Synthetic drugs, XII. Constitution and salidiuretic effect of 3-sulfamoyl-4-chlorobenzoic acid derivatives and related compounds
作者:Flueckiger, E.; Lindenmann, A.; Taeschler, M.; Schenker, E.; Jucker, E.
来源:Arzneim-Forsch Drug Res 1963,13(4),269-280
合成路线图解说明:

The sulfonation of 2,4-dichlorobenzoic acid (I) with chlorosulfonic acid (II) at 140 C gives 5-chlorosulfonyl-2,4-dichlorobenzoic acid (III), which by reaction with liquid NH3 is converted into 5-sulfamoyl-2,4-dichlorobenzoic acid (IV). Finally, this compound is treated with NaOH.

Drug Information Express,Drug R&D,Chemical Database,Patent Search.
Copyright © 2006-2026 Drug Future. All rights reserved.Contact Us