【药物名称】M-12285
化学结构式(Chemical Structure):
参考文献No.63689
标题:M-12,285
作者:Hillier, K.; Casta馿r, J.; Serradell, M.N.; Blancafort, P.
来源:Drugs Fut 1983,8(3),204
合成路线图解说明:

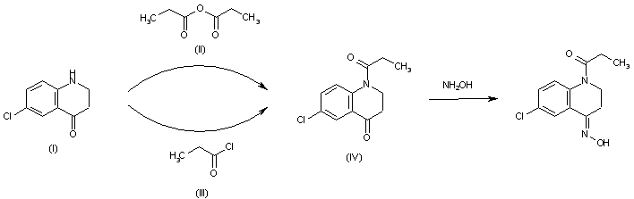
The reaction of 6-chloro-4-oxo-1,2,3,4-tetrahydroquinoline (I) with propionic anhydride (II) or propionyl chloride (III) in pyridine gives 6-chloro-4-oxo-1-propionyl-1,2,3,4-tetrahydroquinoline (IV), which is then treated with hydroxylamine hydrochloride in refluxing pyridine.

参考文献No.701217
标题:Hypotensive diuretic pharmaceutical compositions containing tetrahydroquinoline derivatives
作者:Suzuki, Y.; Ohnishi, H.; Yamaguchi, K.; Mochida, E.; Kosuzume, H.
来源:DE 3129719; FR 2487196; GB 2081091
合成路线图解说明:

The reaction of 6-chloro-4-oxo-1,2,3,4-tetrahydroquinoline (I) with propionic anhydride (II) or propionyl chloride (III) in pyridine gives 6-chloro-4-oxo-1-propionyl-1,2,3,4-tetrahydroquinoline (IV), which is then treated with hydroxylamine hydrochloride in refluxing pyridine.

参考文献No.701218
标题:4-Oximino-1,2,3,4- tetrahydroquinoline Derivatives
作者:Susumi, J.; Shoichi, K.; Koichi, K.
来源:DE 3129718; FR 2487346; GB 2092130
合成路线图解说明:

The reaction of 6-chloro-4-oxo-1,2,3,4-tetrahydroquinoline (I) with propionic anhydride (II) or propionyl chloride (III) in pyridine gives 6-chloro-4-oxo-1-propionyl-1,2,3,4-tetrahydroquinoline (IV), which is then treated with hydroxylamine hydrochloride in refluxing pyridine.

参考文献No.800336
标题:Pharmacological properties of 6-chloro-1-ethylcarbonyl-4-oxyimino-1,2,3,4-tetrahydroquinoline
作者:Suzuki, Y.; Yamaguchi, K.; Ohnishi, H.; Takada, K.; Toyonaka, Y.; Orita, Y.
来源:Drugs Exp Clin Res 1981,7(6),823-832
合成路线图解说明:

The reaction of 6-chloro-4-oxo-1,2,3,4-tetrahydroquinoline (I) with propionic anhydride (II) or propionyl chloride (III) in pyridine gives 6-chloro-4-oxo-1-propionyl-1,2,3,4-tetrahydroquinoline (IV), which is then treated with hydroxylamine hydrochloride in refluxing pyridine.

Drug Information Express,Drug R&D,Chemical Database,Patent Search.
Copyright © 2006-2026 Drug Future. All rights reserved.Contact Us