【药物名称】Mitoguazone, Win-10708-2, NSC-30609(acetate), NSC-32946(diHCl), MGBG, Methyl-GAG, Zyrkamine
化学结构式(Chemical Structure):
参考文献No.63572
标题:Mitoguazone
作者:Serradell, M.N.; Eastland, G.W.; Casta馿r, J.
来源:Drugs Fut 1984,9(3),199
合成路线图解说明:

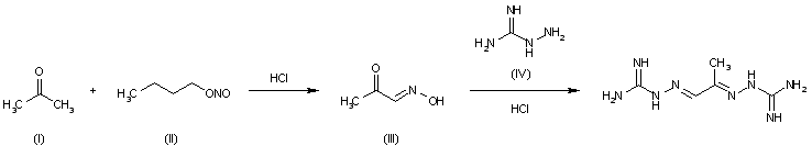
The oxidation of acetone (I) with butyl nitrite (II) with a catalytic amount of HCl gives methylglyoxal 1-oxime (III), which is then condensed with aminoguanidine (IV) in hot water acidified with HCl.

参考文献No.296933
标题:Convenient synthesis of [2-C-14]-methylglyoxal bis(guanylhydrazone), [C-14]-mitoguazone
作者:Burgos, A.; Ellames, G.J.
来源:J Label Compd Radiopharm 1995,36(1),93
合成路线图解说明:

The synthesis of [14C]-mitoguazone has been reported: The methylation of [14C]-labeled potassium acetate (I) with dimethyl sulfate in HMPT gives the corresponding ester (II), which by reaction with the sodium salt of dimethylsulfoxide (III) in DMSO affords the hemithioketal (IV). Finally, this compound is condensed with aminoguanidine (V) in DMSO/water.

参考文献No.800075
标题:Antiviral compounds. IX. Synthesis and anti-influenza virus activity of bis-amidinohydrazones of glyoxal and methylglyoxal
作者:Nagaki, D.; Nishimura, T.; Hasegawa, K.; Toku, H.; Sakaguchi, H.; Yamazaki, C.
来源:Kitasato Arch Exp Med 1975,48(4),171-181
合成路线图解说明:

The oxidation of acetone (I) with butyl nitrite (II) with a catalytic amount of HCl gives methylglyoxal 1-oxime (III), which is then condensed with aminoguanidine (IV) in hot water acidified with HCl.

Drug Information Express,Drug R&D,Chemical Database,Patent Search.
Copyright © 2006-2026 Drug Future. All rights reserved.Contact Us