【药物名称】KF-4317
化学结构式(Chemical Structure):
参考文献No.46474
标题:Amino-alcohol derivatives
作者:Takizawa, H.; Oiji, Y.; Kubo, K. (Kyowa Hakko Kogyo Co., Ltd.)
来源:DE 3010752; US 4381398
合成路线图解说明:

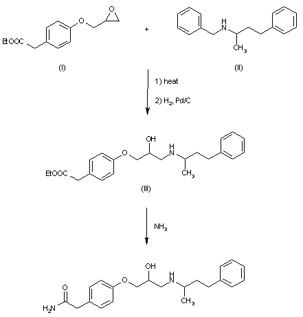
The addition of N-benzyl-3-phenyl-1-methylpropylamine (I) to ethyl 4-(2,3-oxidopropoxy)phenylacetate (II) in refluxing ethanol, followed by debenzylation with H2 over Pd/C gives 1-[4-(ethoxycarbonylmethyl)phenoxyl-3-(1-methyl-3-phenylpropylamino)-2-propanol (III), which is then treated with NH3 in ethanol.

参考文献No.63575
标题:KF-4317
作者:Casta馿r, J.; Serradell, M.N.
来源:Drugs Fut 1984,9(3),189
合成路线图解说明:

The addition of N-benzyl-3-phenyl-1-methylpropylamine (I) to ethyl 4-(2,3-oxidopropoxy)phenylacetate (II) in refluxing ethanol, followed by debenzylation with H2 over Pd/C gives 1-[4-(ethoxycarbonylmethyl)phenoxyl-3-(1-methyl-3-phenylpropylamino)-2-propanol (III), which is then treated with NH3 in ethanol.

Drug Information Express,Drug R&D,Chemical Database,Patent Search.
Copyright © 2006-2026 Drug Future. All rights reserved.Contact Us