【药物名称】Atomoxetine hydrochloride, Tomoxetine hydrochloride, LY-139602 [(+)-isomer], LY-135252(racemate), LY-139603, Strattera
化学结构式(Chemical Structure):
参考文献No.42028
标题:3-Aryl-3-phenylpropylamines
作者:Foster, B.J.; Lavagnino, E.R. (Eli Lilly and Company)
来源:EP 0052492
合成路线图解说明:

N,N-Dimethyl 3-phenyl-3-(o-tolyloxy)propylamine (I) is allowed to react with phenyl chloroformate (II) in refluxing toluene to give phenyl methyl [3-(o-tolyloxy)-3-phenylpropyl]carbamate (III), which is hydrolyzed with NaOH in refluxing propyleneglycol - water. The racemic product is then treated with L-mandelic acid and Na2CO3 in water to yield the corresponding (-)-mandelate salt as a precipitate, which is finally treated with Na2CO3, extracted with ether and acidified with HCl (I).

参考文献No.62744
标题:Tomoxetine hydrochloride
作者:Casta馿r, J.; Prous, J.
来源:Drugs Fut 1986,11(2),134
合成路线图解说明:

N,N-Dimethyl 3-phenyl-3-(o-tolyloxy)propylamine (I) is allowed to react with phenyl chloroformate (II) in refluxing toluene to give phenyl methyl [3-(o-tolyloxy)-3-phenylpropyl]carbamate (III), which is hydrolyzed with NaOH in refluxing propyleneglycol - water. The racemic product is then treated with L-mandelic acid and Na2CO3 in water to yield the corresponding (-)-mandelate salt as a precipitate, which is finally treated with Na2CO3, extracted with ether and acidified with HCl (I).

参考文献No.146138
标题:A new chemoenzymatic enantioselective synthesis of R-(-)-tomoxetine, (R)-fluoxetine and (S)-fluoxetine
作者:Dike, S.Y.; Kumar, A.; Ner, D.H.
来源:Tetrahedron Lett 1991,32(16),1901
合成路线图解说明:

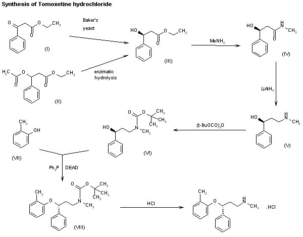
A new synthesis for tomoxetine hydrochloride has been reported: The reduction of benzoylacetic acid ethyl ester (I) with Baker's yeast and glucose in water, or the enzymatic hydrolysis of 3-acetoxy-3-phenylpropionic acid ethyl ester (II), gives (-)-3-hydroxy-3-phenylpropionic acid ethyl ester (III), which by reaction with methylamine yields the corresponding amide (IV). The reduction of (IV) with LiAlH4 in ether affords (-)-3-hydroxy-N-methyl-3-phenylpropylamine (V), which is protected with di-tert-butyldicarbonate to the amide (VI). The condensation of (VI) with o-cresol (VII) by means of triphenylphosphine and diethylazodicarboxylate (DEAD) in ether yields the protected final product (VIII), which is finally deprotected with dry HCl in methanol.

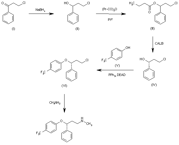
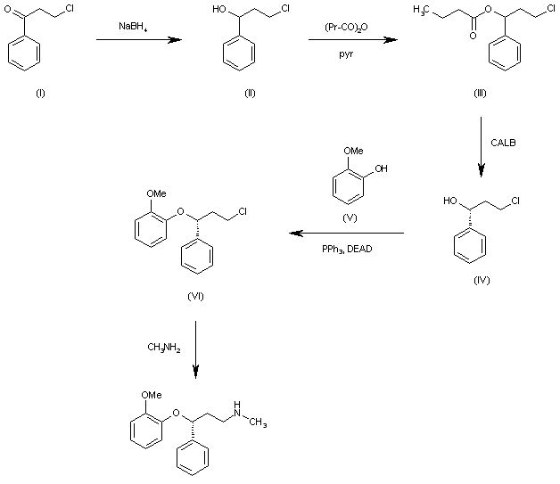
参考文献No.583046
标题:Chemoenzymatic synthesis of the non-tricyclic antidepressants fluoxetine, tomoxetine and nisoxetine
作者:Anthonsen, T.; Ho, B.H.; Liu, H.L.
来源:J Chem Soc - Perkins Trans I 2000,11(11),1767
合成路线图解说明:

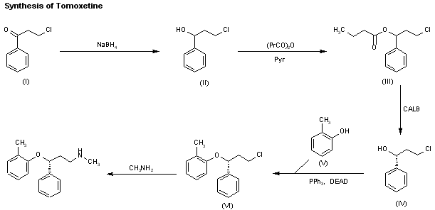
A new synthesis of tomoxetine has been described: The reduction of omega-chloropropiophenone (I) with NaBH4 in ethanol gives 3-chloro-1-phenyl-1-propanol (II), which is treated with butyric anhydride and pyridine in dichloromethane to yield the corresponding racemic ester (III). The optical resolution of (III) with immobilized lipase B from Candida antarctica (CALB) affords a mixture of unreacted (S)-ester and (R)-alcohol (IV) that are separated by column chromatography. Condensation of th (R)-alcohol (IV) with 2-methylphenol (V) by means of PPh3 and diethyl azodicarboxylate (DEAD) in THF gives the corresponding ether (VI), which is finally treated with methylamine in refluxing ethanol.

合成路线图解说明:

The reduction of omega-chloropropiophenone (I) with NaBH4 in ethanol gives 3-chloro-1-phenyl-1-propanol (II), which is treated with butyric anhydride and pyridine in dichloromethane, yielding the corresponding racemic ester (III). The optical resolution of (III) with immobilized lipase B from Candida antarctica (CALB) affords a mixture of unreacted (S)-ester and (R)-alcohol (IV), which are separated by column chromatography. The condensation of alcohol (IV) with 4-(trifluoromethyl)phenol (V) by means of PPh3 and diethyl azodicarboxylate (DEAD) in THF gives the corresponding ether (VI), which is finally treated with methylamine in refluxing ethanol.

合成路线图解说明:

The reduction of omega-chloropropiophenone (I) with NaBH4 in ethanol gives 3-chloro-1-phenyl-1-propanol (II), which is treated with butyric anhydride and pyridine in dichloromethane yielding the corresponding racemic ester (III). The optical resolution of (III) with immobilized lipase B from Candida antarctica (CALB) affords a mixture of unreacted (S)-ester and (R)-alcohol (IV) that are separated by column chromatography. The condensation of alcohol (IV) with 2-methoxyphenol (V) by means of PPh3 and diethyl azodicarboxylate (DEAD) in THF gives the corresponding ether (VI), which is finally treated with methylamine in refluxing ethanol.

参考文献No.689833
标题:Pd-catalyzed kinetic resolution of benzylic alcohols: A practical synthesis of (R)-tomoxetine and (S)-fluoxetine hydrochlorides
作者:Ali, I.S.; Sudalai, A.
来源:Tetrahedron Lett 2002,43(31),5435
合成路线图解说明:

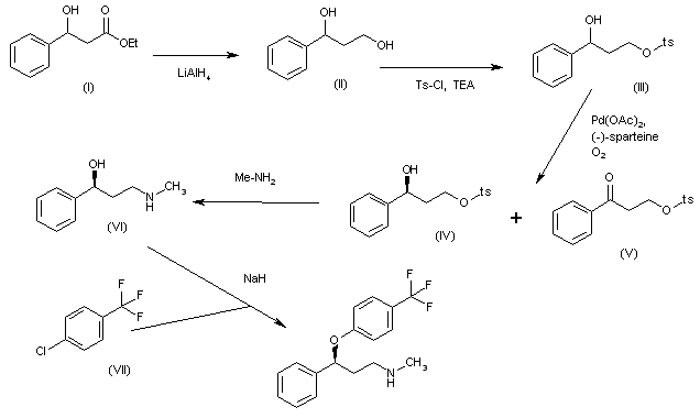
The reduction of 3-hydroxy-3-phenylpropionic acid ethyl ester (I) with LiAlH4 in THF gives 1-phenylpropane-1,3-diol (II), which is treated with Ts-Cl and TEA in dichloromethane to yield the monotosylate (III). The optical resolution of (III) by means of (Pd(OAc)2, (-)-sparteine and O2 in hot toluene yields a mixture of the desired (S)-1-phenyl-3-(tosyloxy)-1-propanol (IV) and the propiophenone (V) that is separated by column chromatography. The reaction of (IV) with methylamine in hot THF affords the chiral secondary amine (VI), which is finally condensed with 2-methylphenol (VII) by means of PPh3 and DEAD in ethyl ether to provide the target (R)-tomoxetine.

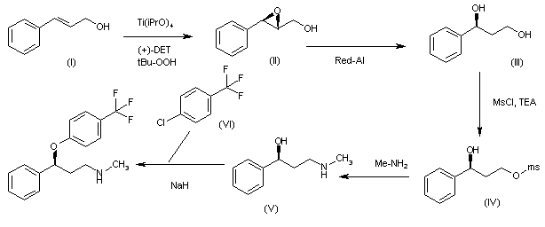
合成路线图解说明:

The asymmetric epoxidation of (E)-3-phenyl-2-propen-1-ol (I) by means of titanium tetraisopropoxide, (+)-diethyl tartrate (+)-(DET) and tBu-OOH in dichloromethane gives the chiral epoxide (II) (1), which is opened by means of bis(2-methoxyethoxy)aluminum hydride (Red-Al) in DME to yield the chiral diol (III). The regioselective reaction of (III) with Ms-Cl and TEA in ethyl ether affords the primary mesylate (IV), which is treated with methylamine in hot THF to afford the secondary amine (V). Finally this compound is condensed with 4-(trifluoromethyl)chlorobenzene (VI) by means of NaH in dimethylacetamide to give rise to the target (S)-fluoxetine.

参考文献No.707285
标题:Asymmetric synthesis of both enantiomers of tomoxetine and fluoxetine. Selective reduction of 2,3-epoxycinnamyl alcohol with Red-Al
作者:Gao, Y.; Sharpless, K.B.
来源:J Org Chem 1988,53(17),4081
合成路线图解说明:

The asymmetric epoxidation of (E)-3-phenyl-2-propen-1-ol (I) by means of titanium tetraisopropoxide, (+)-diethyl tartrate (+)-(DET) and tBu-OOH in dichloromethane gives the chiral epoxide (II), which is opened by means of bis(2-methoxyethoxy)aluminum hydride (Red-Al) in DME to yield the chiral diol (III). The regioselective reaction of (III) with Ms-Cl and TEA in ethyl ether affords the primary mesylate (IV), which is condensed with 2-methylphenol (V) by means of PPh3 and DEAD in ethyl ether to provide the adduct (VI). Finally this compound is treated with methylamine in hot aq. THF to give rise to the target (R)-tomoxetine.

合成路线图解说明:

The reduction of 3-hydroxy-3-phenylpropionic acid ethyl ester (I) with LiAlH4 in THF gives 1-phenylpropane-1,3-diol (II), which is treated with Ts-Cl and TEA in dichloromethane to yield the monotosylate (III). The optical resolution of (III) by means of (Pd(OAc)2, (-)-sparteine and O2 in hot toluene yields a mixture of the desired (S)-1-phenyl-3-(tosyloxy)-1-propanol (IV) and the propiophenone (V) that is separated by column chromatography. The reaction of (IV) with methylamine in hot THF affords the chiral secondary amine (VI), which is finally condensed with 4-(trifluoromethyl)chlorobenzene (VII) by means of NaH in hot dimethylacetamide to provide the target (S)-fluoxetine.

参考文献No.707286
标题:Catalytic asymmetric epoxidation and kinetic resolution: Modified procedures including in situ derivatization
作者:Gao, Y.; et al.
来源:J Am Chem Soc 1987,109(19),5765
合成路线图解说明:

The asymmetric epoxidation of (E)-3-phenyl-2-propen-1-ol (I) by means of titanium tetraisopropoxide, (+)-diethyl tartrate (+)-(DET) and tBu-OOH in dichloromethane gives the chiral epoxide (II), which is opened by means of bis(2-methoxyethoxy)aluminum hydride (Red-Al) in DME to yield the chiral diol (III). The regioselective reaction of (III) with Ms-Cl and TEA in ethyl ether affords the primary mesylate (IV), which is condensed with 2-methylphenol (V) by means of PPh3 and DEAD in ethyl ether to provide the adduct (VI). Finally this compound is treated with methylamine in hot aq. THF to give rise to the target (R)-tomoxetine.

合成路线图解说明:

The reduction of 3-hydroxy-3-phenylpropionic acid ethyl ester (I) with LiAlH4 in THF gives 1-phenylpropane-1,3-diol (II), which is treated with Ts-Cl and TEA in dichloromethane to yield the monotosylate (III). The optical resolution of (III) by means of (Pd(OAc)2, (-)-sparteine and O2 in hot toluene yields a mixture of the desired (S)-1-phenyl-3-(tosyloxy)-1-propanol (IV) and the propiophenone (V) that is separated by column chromatography. The reaction of (IV) with methylamine in hot THF affords the chiral secondary amine (VI), which is finally condensed with 4-(trifluoromethyl)chlorobenzene (VII) by means of NaH in hot dimethylacetamide to provide the target (S)-fluoxetine.

Drug Information Express,Drug R&D,Chemical Database,Patent Search.
Copyright © 2006-2026 Drug Future. All rights reserved.Contact Us