【药物名称】Tertatolol hydrochloride, SE-2395, Prenalex, Artexal, Artex
化学结构式(Chemical Structure):
参考文献No.49275
标题:Tertatolol hydrochloride
作者:Leclerc, G.
来源:Drugs Fut 1986,11(2),131
合成路线图解说明:

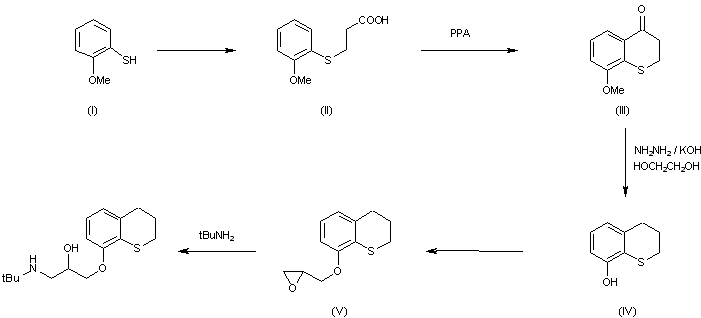
The cyclization of 3-(2-methoxyphenylthio)propionic acid (II) with PPA yields 8 methoxythiochroman-4-one (III). Thiochromanone (III) is then reduced to 8-hydroxythiochromane (IV) by the Wolff-Kishner reduction method. Demethylation is almost complete during this reduction. The 8-hydroxythiochromane (IV), treated with epichlorohydrin, yields the corresponding epoxide (V), which when treated with excess tert-butylamine yields tertatolol base.

Drug Information Express,Drug R&D,Chemical Database,Patent Search.
Copyright © 2006-2026 Drug Future. All rights reserved.Contact Us