【药物名称】Imiloxan, RS-21361
化学结构式(Chemical Structure):
参考文献No.45881
标题:2-(1,4-Benzodioxan-2-ylalkyl)miidazoles useful as antidepressants
作者:Kluge, A.F.; Strosberg, A.M.; Whiting, R.; Christie, G. (Syntex (USA), Inc.)
来源:EP 0047531; JP 57050989; US 4302469
合成路线图解说明:

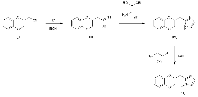
The partial alcoholysis of 2-cyanomethyl-1,4-benzodioxane (I) with ethanol and HCl in ether gives ethyl-(1,4-benzodioxan-2-yl)acetimidate (II), which is cyclized with aminoacetaldehyde diethylketal (III) in refluxing ethanol yielding 2-[(1,4-benzodioxan-2-yl)methyl]imidazole (IV). Finally, this compound is alkylated with ethyl iodide (V) and NaH in DMF.

参考文献No.62654
标题:Imiloxan
作者:Casta馿r, J.; Serradell, M.N.
来源:Drugs Fut 1986,11(2),108
合成路线图解说明:

The partial alcoholysis of 2-cyanomethyl-1,4-benzodioxane (I) with ethanol and HCl in ether gives ethyl-(1,4-benzodioxan-2-yl)acetimidate (II), which is cyclized with aminoacetaldehyde diethylketal (III) in refluxing ethanol yielding 2-[(1,4-benzodioxan-2-yl)methyl]imidazole (IV). Finally, this compound is alkylated with ethyl iodide (V) and NaH in DMF.

参考文献No.607565
标题:Structure-activity relationships for 2-substituted imidazoles as alpha2-adrenoceptor antagonists
作者:Caroon, J.M.; Clark, R.D.; Kluge, A.F.; Olah, R.; Repke, D.B.; Unger, S.H.; Michel, A.D.; Whiting, R.L.
来源:J Med Chem 1982,25(6),666-670
合成路线图解说明:

The partial alcoholysis of 2-cyanomethyl-1,4-benzodioxane (I) with ethanol and HCl in ether gives ethyl-(1,4-benzodioxan-2-yl)acetimidate (II), which is cyclized with aminoacetaldehyde diethylketal (III) in refluxing ethanol yielding 2-[(1,4-benzodioxan-2-yl)methyl]imidazole (IV). Finally, this compound is alkylated with ethyl iodide (V) and NaH in DMF.

Drug Information Express,Drug R&D,Chemical Database,Patent Search.
Copyright © 2006-2026 Drug Future. All rights reserved.Contact Us