【药物名称】3-Deazaguanine, Dezaguanine, ICN-4221, 3-DG, NSC-261726, CI-809
化学结构式(Chemical Structure):
参考文献No.62729
标题:Dezaguanine
作者:Eastland, G.
来源:Drugs Fut 1986,11(2),99
合成路线图解说明:

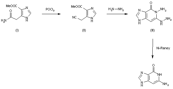
Methyl-5-(4)-carbamoylmethylimidazole-4-(5)-carboxylate (I) and phosphoryl chloride are refluxed for 1 h, cooled, titurated with petroleum ether (30-60 C) and diethyl ether. Ice, followed by aqueous ammonia solution, is added to give a pH of 6.0. The solvent is then removed in vacuuo and the solid extracted with hot ethyl acetate. After drying with magnesium sulfate, the ethyl acetate is removed in vacuuo and the straw-colored methyl-5-(4)-cyanomethylimidazole-4-(5)-carboxylate (II) is recrystallized from water. Hydrazine hydrate is refluxed with (II), giving a precipitate of 5-amino-6-hydrazino-1,5-dihydroimidazol-[4,5-c]pyridin-4-one (III). A solution of (III) in boiling water is treated with Raney Nickel catalyst and refluxed. Filtration and concentration of the filtrate give, upon standing overnight, yellow crystals of 3-deazaguanine.

参考文献No.803912
标题:Synthesis and antiviral/antitumor activites of certain 3-deazaguanine nucleosides and nucleotides
作者:Gupta, P.K.; McKernau, P.A.; Revankar, G.R.; Cook, A.D.; Robins, R.K.; Dalby, N.K.; Canonico, P.C.; Adams, A.D.
来源:J Med Chem 1984,27(11),1389-96
合成路线图解说明:

Methyl-5-(4)-carbamoylmethylimidazole-4-(5)-carboxylate (I) and phosphoryl chloride are refluxed for 1 h, cooled, titurated with petroleum ether (30-60 C) and diethyl ether. Ice, followed by aqueous ammonia solution, is added to give a pH of 6.0. The solvent is then removed in vacuuo and the solid extracted with hot ethyl acetate. After drying with magnesium sulfate, the ethyl acetate is removed in vacuuo and the straw-colored methyl-5-(4)-cyanomethylimidazole-4-(5)-carboxylate (II) is recrystallized from water. Hydrazine hydrate is refluxed with (II), giving a precipitate of 5-amino-6-hydrazino-1,5-dihydroimidazol-[4,5-c]pyridin-4-one (III). A solution of (III) in boiling water is treated with Raney Nickel catalyst and refluxed. Filtration and concentration of the filtrate give, upon standing overnight, yellow crystals of 3-deazaguanine.

Drug Information Express,Drug R&D,Chemical Database,Patent Search.
Copyright © 2006-2026 Drug Future. All rights reserved.Contact Us