【药物名称】Anipamil
化学结构式(Chemical Structure):
参考文献No.110
标题:omega-Cyano-1, omega-diphenyl-azaalkiane derivatives, their preparation and drugs containing them
作者:Ehrmann, O.; et al. (BASF AG)
来源:DE 3144150
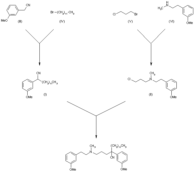
合成路线图解说明:

By condensation of 2-(3-methoxyphenyl)tetradecanenitrile (I) [prepared by alkylation of 3-methoxyphenylacetonitrile (III) with 1-bromoundecane (IV) with 1-chloro-4-methyl-6-(3-methoxyphenyl)-4-azahexane (II) (prepared by alkylation of N-methyl-[2-(3-methoxyphenyl)ethylamine (VI) with 1-bromo-3-chloropropane (V)) by means of sodium amide in refluxing toluene.

参考文献No.63608
标题:Anipamil
作者:Casta馿r, J.; Prous, J.
来源:Drugs Fut 1986,11(3),171
合成路线图解说明:

By condensation of 2-(3-methoxyphenyl)tetradecanenitrile (I) [prepared by alkylation of 3-methoxyphenylacetonitrile (III) with 1-bromoundecane (IV) with 1-chloro-4-methyl-6-(3-methoxyphenyl)-4-azahexane (II) (prepared by alkylation of N-methyl-[2-(3-methoxyphenyl)ethylamine (VI) with 1-bromo-3-chloropropane (V)) by means of sodium amide in refluxing toluene.

Drug Information Express,Drug R&D,Chemical Database,Patent Search.
Copyright © 2006-2026 Drug Future. All rights reserved.Contact Us