【药物名称】Cromakalim, M&B-44809, BRL-38227((-)-enantiomer), BRL-38266((+)-enantiomer), BRL-34915
化学结构式(Chemical Structure):
参考文献No.1592
标题:Antihypertensive chromenes and chromans
作者:Faruk, E.A. (SmithKline Beecham plc)
来源:EP 0093535; US 4510152
合成路线图解说明:

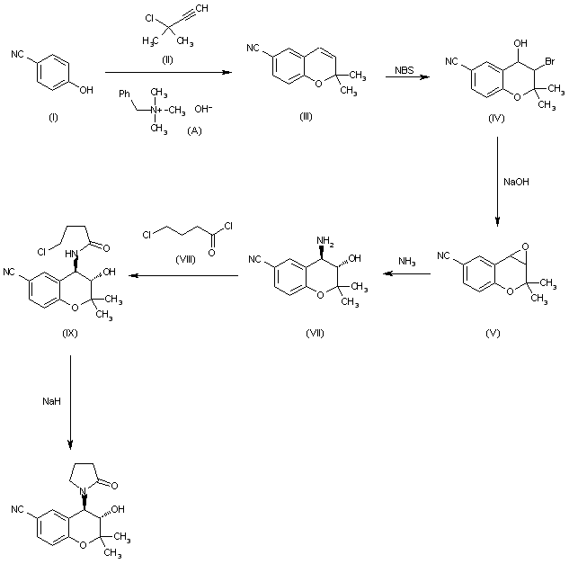
1) The cyclization of 4-cyanophenol (I) with 3-chloro-3-methylbutine (II) by means of benzyltrimethylammonium hydroxide in methanol-CH2Cl2 gives 6-cyano-2,2-dimethyl-2H-benzo[b]pyran (III), which is treated with N-bromosuccinimide in DMSO to afford 6-cyano-trans-3-bromo-3,4-dihydro-2,2-dimethyl 2H benzo[b]pyran-4-ol (IV). Epoxidation of (IV) by means of NaOH in dioxane-water yields 6-cyano-3-(4-dihydro-3,4-epoxy-2,2-dimethyl-2H-benzo[b]pyran (V), which is finally treated with 4-aminobutyric acid (VI) and NaHCO3 in refluxing ethanol. 2) By reaction of epoxide (V) with 2-pyrrolidone (X) by means of NaH in DMSO.

合成路线图解说明:

The reaction of epoxide (V) with ammonia in ethanol gives 4-amino-6-cyano-3,4-dihydro-2,2-dimethyl-trans-2H-benzo[b]pyran-3-ol (VII), which is condensed with 4-chlorobutyryl chloride (VIII) by means of NaOH in CHCl3 yielding 6-cyano-3,4-dihydro-2,2-dimethyl-trans-4-(4-chlorobutyrylamino)-2H-benzo[blpyran 3-ol (IX). Finally, this compound is cyclized by means of NaH in THF.

参考文献No.14355
标题:Benzopyrans
作者:Evans, J.M.; Buckingham, R.E.; Willcocks, K. (SmithKline Beecham plc)
来源:EP 0076075; JP 3014573; JP 5202034; US 4446113
合成路线图解说明:

1) The cyclization of 4-cyanophenol (I) with 3-chloro-3-methylbutine (II) by means of benzyltrimethylammonium hydroxide in methanol-CH2Cl2 gives 6-cyano-2,2-dimethyl-2H-benzo[b]pyran (III), which is treated with N-bromosuccinimide in DMSO to afford 6-cyano-trans-3-bromo-3,4-dihydro-2,2-dimethyl 2H benzo[b]pyran-4-ol (IV). Epoxidation of (IV) by means of NaOH in dioxane-water yields 6-cyano-3-(4-dihydro-3,4-epoxy-2,2-dimethyl-2H-benzo[b]pyran (V), which is finally treated with 4-aminobutyric acid (VI) and NaHCO3 in refluxing ethanol. 2) By reaction of epoxide (V) with 2-pyrrolidone (X) by means of NaH in DMSO.

合成路线图解说明:

The reaction of epoxide (V) with ammonia in ethanol gives 4-amino-6-cyano-3,4-dihydro-2,2-dimethyl-trans-2H-benzo[b]pyran-3-ol (VII), which is condensed with 4-chlorobutyryl chloride (VIII) by means of NaOH in CHCl3 yielding 6-cyano-3,4-dihydro-2,2-dimethyl-trans-4-(4-chlorobutyrylamino)-2H-benzo[blpyran 3-ol (IX). Finally, this compound is cyclized by means of NaH in THF.

参考文献No.49271
标题:BRL-34915
作者:Casta馿r, J.; Mannhold, R.
来源:Drugs Fut 1986,11(3),175
合成路线图解说明:

1) The cyclization of 4-cyanophenol (I) with 3-chloro-3-methylbutine (II) by means of benzyltrimethylammonium hydroxide in methanol-CH2Cl2 gives 6-cyano-2,2-dimethyl-2H-benzo[b]pyran (III), which is treated with N-bromosuccinimide in DMSO to afford 6-cyano-trans-3-bromo-3,4-dihydro-2,2-dimethyl 2H benzo[b]pyran-4-ol (IV). Epoxidation of (IV) by means of NaOH in dioxane-water yields 6-cyano-3-(4-dihydro-3,4-epoxy-2,2-dimethyl-2H-benzo[b]pyran (V), which is finally treated with 4-aminobutyric acid (VI) and NaHCO3 in refluxing ethanol. 2) By reaction of epoxide (V) with 2-pyrrolidone (X) by means of NaH in DMSO.

合成路线图解说明:

The reaction of epoxide (V) with ammonia in ethanol gives 4-amino-6-cyano-3,4-dihydro-2,2-dimethyl-trans-2H-benzo[b]pyran-3-ol (VII), which is condensed with 4-chlorobutyryl chloride (VIII) by means of NaOH in CHCl3 yielding 6-cyano-3,4-dihydro-2,2-dimethyl-trans-4-(4-chlorobutyrylamino)-2H-benzo[blpyran 3-ol (IX). Finally, this compound is cyclized by means of NaH in THF.

Drug Information Express,Drug R&D,Chemical Database,Patent Search.
Copyright © 2006-2026 Drug Future. All rights reserved.Contact Us