【药物名称】
化学结构式(Chemical Structure):
参考文献No.63700
标题:Propylbutyldopamine hydrochloride
作者:Ginos, J.Z.
来源:Drugs Fut 1986,11(3),191
合成路线图解说明:

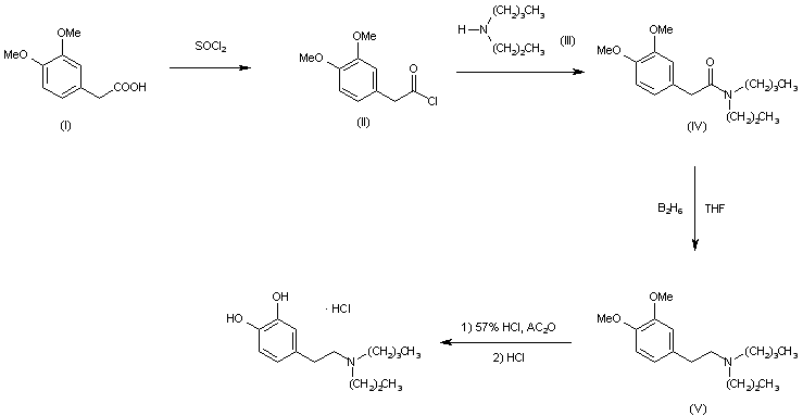
3,4-Dimethoxyphenylacetyl chloride (II), obtained by the reaction of SOCl2 with 3,4-dimethoxyphenylacetic acid (I), is reacted with an excess of N-n-propyl-N-n-butylamine (III) in dry DMF to yield the corresponding amide. Following its extraction with ether from an aqueous solution, the amide (IV) is reduced to the corresponding amine (V) by refluxing in dry THF with 1.0 M diborane. The methyl protective groups are removed by refluxing the amine salt for less than 1 h with 56% HI in acetic anhydride. The deprotected amine obtained by neutralizing the hydroiodic salt with aqueous NaHCO3 is then converted to its hydrochloride salt. The final compound is recrystallized from ethanol ether.

参考文献No.555581
标题:Cholinergic effects of molecular segments of apomorphine and dopaminergic effects of N,N-dialkylated dopamines
作者:Ginos, J.Z.; Cotzias, G.C.; Tolosa, E.; Tang, L.C.; LoMonte, A.
来源:J Med Chem 1975,18(12),1194
合成路线图解说明:

3,4-Dimethoxyphenylacetyl chloride (II), obtained by the reaction of SOCl2 with 3,4-dimethoxyphenylacetic acid (I), is reacted with an excess of N-n-propyl-N-n-butylamine (III) in dry DMF to yield the corresponding amide. Following its extraction with ether from an aqueous solution, the amide (IV) is reduced to the corresponding amine (V) by refluxing in dry THF with 1.0 M diborane. The methyl protective groups are removed by refluxing the amine salt for less than 1 h with 56% HI in acetic anhydride. The deprotected amine obtained by neutralizing the hydroiodic salt with aqueous NaHCO3 is then converted to its hydrochloride salt. The final compound is recrystallized from ethanol ether.

参考文献No.555584
标题:New dopaminergic and potential anti-parkinson compounds, N,N-disubstituted beta-(3,4-dihydroxyphenyl)ethylamines
作者:Ginos, J.Z.; Cotzias, G.C.; Doroski, D.
来源:J Med Chem 1978,21(2),160
合成路线图解说明:

3,4-Dimethoxyphenylacetyl chloride (II), obtained by the reaction of SOCl2 with 3,4-dimethoxyphenylacetic acid (I), is reacted with an excess of N-n-propyl-N-n-butylamine (III) in dry DMF to yield the corresponding amide. Following its extraction with ether from an aqueous solution, the amide (IV) is reduced to the corresponding amine (V) by refluxing in dry THF with 1.0 M diborane. The methyl protective groups are removed by refluxing the amine salt for less than 1 h with 56% HI in acetic anhydride. The deprotected amine obtained by neutralizing the hydroiodic salt with aqueous NaHCO3 is then converted to its hydrochloride salt. The final compound is recrystallized from ethanol ether.

Drug Information Express,Drug R&D,Chemical Database,Patent Search.
Copyright © 2006-2026 Drug Future. All rights reserved.Contact Us