【药物名称】Lupitidine hydrochloride, SK&F-93479
化学结构式(Chemical Structure):
参考文献No.3751
标题:Pyrimidine compounds
作者:Brown, T.H.; Ife, R.J. (SmithKline Beecham plc)
来源:DD 140252; EP 0003677; ES 477667; US 4234588; US 4649141
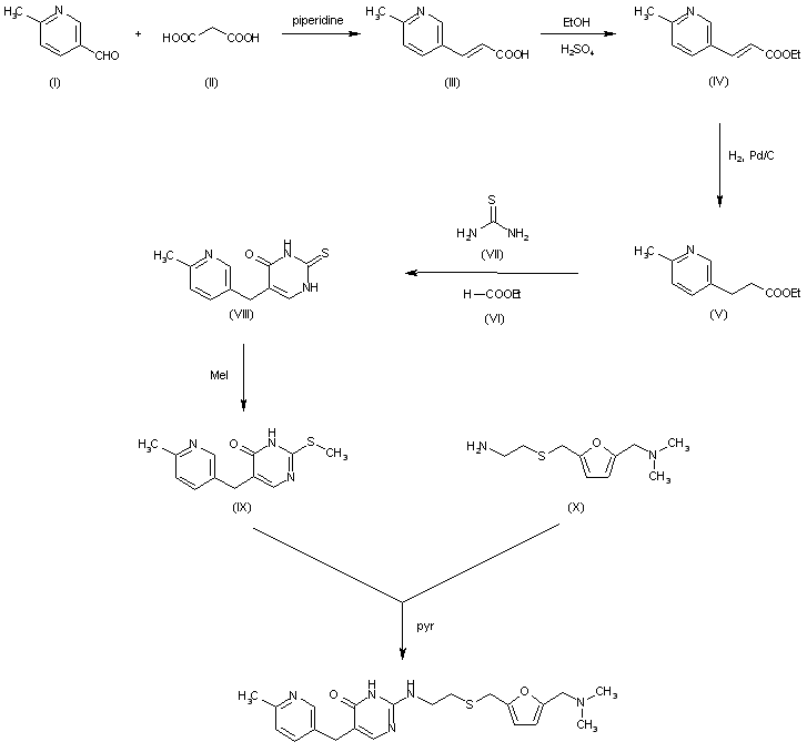
合成路线图解说明:

The condensation of 6-methylpyridine-3-carboxaldehyde (I) with malonic acid (II) by means of piperidine in refluxing pyridine gives 3-(6-methyl-3-pyridyl)acrylic acid (III), which is esterified with ethanol and H2SO4 as usual to afford ethyl 3-(6-methyl-3-pyridyl)acrylate (IV). The reduction of (IV) with H2 over Pd/C in ethanol affords ethyl 3-(6-methyl-3-pyridyl)propionate (V), which is cyclized with ethyl formate (VI) and thiourea (VII) by means of Na in ether-ethanol yielding 5-(6-methyl-3-pyridylmethyl)-2-thiouracil (VIII). The methylation of (VIII) with methyl iodide and NaOH in hot water gives 5-(6-methyl-3-pyridyl-methyl)-2-methylthio-4-pyrimidone (IX), which is finally condensed with 2-[(5-dimethylaminomethylfuran-2-yl)methylthio]ethylamine (X) in refluxing pyridine.

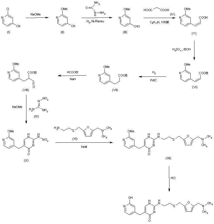
合成路线图解说明:

The reaction of 2-chloro-4-cyanopyridine (I) with sodium methoxide in refluxing methanol gives 2-methoxy-4-cyanopyridine (II), which by reduction with H2 over Raney-Ni and semicarbazide HCl in water-ethanol is converted to 2-methoxypyridine-4-carboxyaldehyde (III). The condensation of (III) with malonic acid (IV) by means of piperidine in hot pyridine yields 3-(2-methoxy-4-pyridyl)acrylic acid (V), which is esterified with ethanol and H2SO4 to the ethyl ester (VI). The reduction of (VII) with H2 over Pd/C in ethanol affords the corresponding propionate (VII). Formylation of (VII) with ethyl formate and NaH gives ethyl 2-formyl-3-(2-methoxy-4-pyridyl)propionate (VIII), which is cyclized with nitroguanidine (IX) by means of sodium methoxide in refluxing methanol yielding 2-nitroamino-5-12-methoxy-4-pyridylmethylpyrimidin-4(1H)-one (X). The reaction of (X) with 2-[5-(dimethylaminomethyl)-2 furylmethylthio]ethylamine in refluxing ethanol gives the O-methyl derivative of SK&F 93574 (XII), whicn is finally deprotected with HCl in refluxing ethanol.

参考文献No.63586
标题:SKF-93,479
作者:de Angelis, L.; Serradell, M.N.; Casta馿r, J.; Blancafort, P.
来源:Drugs Fut 1982,7(3),175
合成路线图解说明:

The condensation of 6-methylpyridine-3-carboxaldehyde (I) with malonic acid (II) by means of piperidine in refluxing pyridine gives 3-(6-methyl-3-pyridyl)acrylic acid (III), which is esterified with ethanol and H2SO4 as usual to afford ethyl 3-(6-methyl-3-pyridyl)acrylate (IV). The reduction of (IV) with H2 over Pd/C in ethanol affords ethyl 3-(6-methyl-3-pyridyl)propionate (V), which is cyclized with ethyl formate (VI) and thiourea (VII) by means of Na in ether-ethanol yielding 5-(6-methyl-3-pyridylmethyl)-2-thiouracil (VIII). The methylation of (VIII) with methyl iodide and NaOH in hot water gives 5-(6-methyl-3-pyridyl-methyl)-2-methylthio-4-pyrimidone (IX), which is finally condensed with 2-[(5-dimethylaminomethylfuran-2-yl)methylthio]ethylamine (X) in refluxing pyridine.

参考文献No.120210
标题:Isocytosine H2-receptor histamine antagonists. III. The synthesis and biological activity of lupitidine (SK&F 93479) and related compounds
作者:Parsons, M.E.; Rawlings, D.A.; Ife, R.J.; Brown, T.H.; Blakemore, R.C.; Blurton, P.; Armitage, M.A.; Durant, G.J.; Slingsby, B.P.; Ganellin, C.R.
来源:Eur J Med Chem 1990,25217-26
合成路线图解说明:

A new synthesis of lupitidine has been described: The condensation of 5-(2-methylpyridin-5-yl)-2-(nitroamino)pyrimidin-4(3H)-one (I) with 2-(2-furylmethylthio)ethylamine (II) in refluxing pyridine gives 2-[2-(2-furylmethylthio)ethylamino]-5-(2-methylpyridin-5-ylmethyl)pyrimidin-4(3H)-one (III), which is then submitted to a conventional Mannich condensation with formaldehyde and dimethylamine in acetic acid.

Drug Information Express,Drug R&D,Chemical Database,Patent Search.
Copyright © 2006-2026 Drug Future. All rights reserved.Contact Us