【药物名称】Enoxacin, PD-107779, CI-919, AT-2266, Almitil, Enoxor, Penetrex, Comprecin, Flumark
化学结构式(Chemical Structure):
参考文献No.44909
标题:Novel naphthyridine derivatives, intermediates thereof, processes for preparation thereof and use thereof
作者:Matsumoto, J.; et al. (Aventis Pharma SA; Dainippon Pharmaceutical Co., Ltd.)
来源:EP 0009425; ES 483629; US 4359578
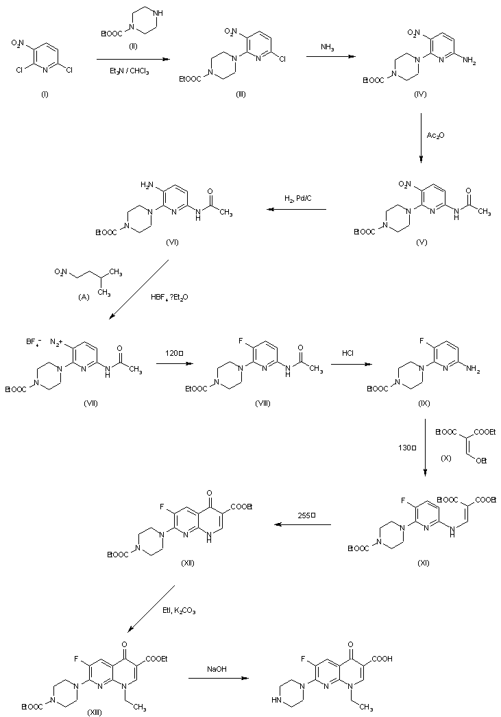
合成路线图解说明:

The reaction of 2,6-dichloro-3-nitropyridine (I) with N-ethoxycarbonylpiperidine (II) by means of triethylamine in CHCl gives 6-chloro-2-(4-ethoxycarbonyl-1-piperazinyl)-3-nitropyridine (III), which is treated with ethanolic NH3 at 120 C in a sealed tube to afford 6-amino-2-(4-ethoxycarbonyl-1-piperazinyl)-3-nitropyridine (IV). The acetylation of (IV) with acetic anhydride - acetic acid at 90 C yields the corresponding 6-acetamido derivative (V), which is reduced with H2 over Pd/C in acetic acid giving 3-amino-6-acetamido-2-(4-ethoxycarbonyl-1-piperazinyl)pyridine (VI). The diazotation of (VI) with isoamyl nitrite (A) and tetrafluoroboric acid in ethanol affords 6-acetylamino-2-(4-ethoxycarbonylpiperazinyl)-3-pyridine diazonium tetrafluoroborate (VII), which by heat treatment at 120 C in toluene is converted into 6-acetylamino-2-(4-ethoxycarbonylpiperazinyl)-3-fluoropyridine (VIII). The hydrolysis of (VIII) with HCl in methanol yields the corresponding 6-aminopyridine derivative (IX), which is condensed with diethyl ethoxymethylenemalonate (X) by heating at 130 C to afford diethyl N-[2-(4-ethoxycarbonyl-1-piperazinyl)-3-fluoro-6-pyridinyl]aminomethylenemalonate (XI). The cyclization of (XI) by heating at 255 C yields ethyl 7-(4-ethoxycarbonyl-1-piperazinyl)-6-fluoro-1,4-dihydro-4-oxo-1,8-naphthyridine-3-carboxylate (XII), which is N-alkylated by means of ethyl iodide and K2CO3 in hot DMF to afford ethyl 7-(4-ethoxycarbonyl-1-piperazinyl)-1-ethyl-6-fluoro-1,4-dihydro-4-oxo-1,8-naphthyridine-3-carboxylate (XIII). Finally, this compound is hydrolyzed by means of NaOH in refluxing ethanol.

参考文献No.49265
标题:AT-2266
作者:Blancafort, P.; Serradell, M.N.; Mealy, N.E.; Casta馿r, J.; Leeson, P.A.
来源:Drugs Fut 1981,6(3),129
合成路线图解说明:

The reaction of 2,6-dichloro-3-nitropyridine (I) with N-ethoxycarbonylpiperidine (II) by means of triethylamine in CHCl gives 6-chloro-2-(4-ethoxycarbonyl-1-piperazinyl)-3-nitropyridine (III), which is treated with ethanolic NH3 at 120 C in a sealed tube to afford 6-amino-2-(4-ethoxycarbonyl-1-piperazinyl)-3-nitropyridine (IV). The acetylation of (IV) with acetic anhydride - acetic acid at 90 C yields the corresponding 6-acetamido derivative (V), which is reduced with H2 over Pd/C in acetic acid giving 3-amino-6-acetamido-2-(4-ethoxycarbonyl-1-piperazinyl)pyridine (VI). The diazotation of (VI) with isoamyl nitrite (A) and tetrafluoroboric acid in ethanol affords 6-acetylamino-2-(4-ethoxycarbonylpiperazinyl)-3-pyridine diazonium tetrafluoroborate (VII), which by heat treatment at 120 C in toluene is converted into 6-acetylamino-2-(4-ethoxycarbonylpiperazinyl)-3-fluoropyridine (VIII). The hydrolysis of (VIII) with HCl in methanol yields the corresponding 6-aminopyridine derivative (IX), which is condensed with diethyl ethoxymethylenemalonate (X) by heating at 130 C to afford diethyl N-[2-(4-ethoxycarbonyl-1-piperazinyl)-3-fluoro-6-pyridinyl]aminomethylenemalonate (XI). The cyclization of (XI) by heating at 255 C yields ethyl 7-(4-ethoxycarbonyl-1-piperazinyl)-6-fluoro-1,4-dihydro-4-oxo-1,8-naphthyridine-3-carboxylate (XII), which is N-alkylated by means of ethyl iodide and K2CO3 in hot DMF to afford ethyl 7-(4-ethoxycarbonyl-1-piperazinyl)-1-ethyl-6-fluoro-1,4-dihydro-4-oxo-1,8-naphthyridine-3-carboxylate (XIII). Finally, this compound is hydrolyzed by means of NaOH in refluxing ethanol.

Drug Information Express,Drug R&D,Chemical Database,Patent Search.
Copyright © 2006-2026 Drug Future. All rights reserved.Contact Us