【药物名称】Esmolol hydrochloride, ASL-8052, Brevibloc
化学结构式(Chemical Structure):
参考文献No.44906
标题:Method for treatment or prophylaxis of cardiac disorders
作者:Erhardt, P.W.; Bogman, R.J.; O'Donnell, J.P. (Baxter International Inc.)
来源:EP 0053435; EP 0065542; US 4387103; WO 8201869
合成路线图解说明:

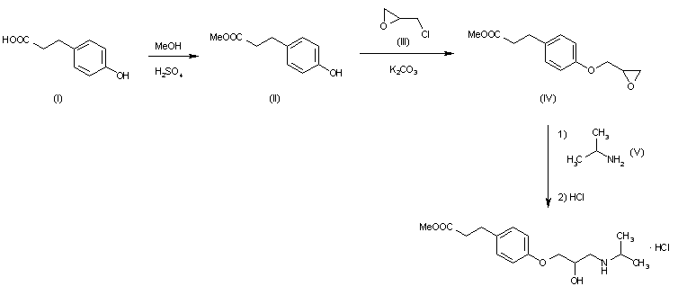
The esterification of 3-(4-hydroxyphenyl)propionic acid (I) with methanol and H2SO4 gives the corresponding methyl ester (II), which by condensation with epichlorohydrin (III) by means of K2CO3 in refluxing acetone affords methyl 3-[4-(2,3-epoxypropoxy)phenyl]propionate (IV). Finally, the epoxide ring is opened by reaction with isopropylamine (V) in refluxing methanol, and a final treatment with ethereal HCl is performed.

参考文献No.49254
标题:Esmolol Hydrochloride
作者:Serradell, M.N.; Casta馿r, J.; Bad韆, A.
来源:Drugs Fut 1984,9(3),183
合成路线图解说明:

The esterification of 3-(4-hydroxyphenyl)propionic acid (I) with methanol and H2SO4 gives the corresponding methyl ester (II), which by condensation with epichlorohydrin (III) by means of K2CO3 in refluxing acetone affords methyl 3-[4-(2,3-epoxypropoxy)phenyl]propionate (IV). Finally, the epoxide ring is opened by reaction with isopropylamine (V) in refluxing methanol, and a final treatment with ethereal HCl is performed.

参考文献No.607573
标题:Ultra-short-acting beta-adrenergic receptor blocking agents. 2. (Aryloxy)propanolamines containing esters on the aryl function
作者:Erhardt, P.W.; Woo, C.M.; Anderson, W.G.; Gorczynski, R.J.
来源:J Med Chem 1982,25(12),1408
合成路线图解说明:

The esterification of 3-(4-hydroxyphenyl)propionic acid (I) with methanol and H2SO4 gives the corresponding methyl ester (II), which by condensation with epichlorohydrin (III) by means of K2CO3 in refluxing acetone affords methyl 3-[4-(2,3-epoxypropoxy)phenyl]propionate (IV). Finally, the epoxide ring is opened by reaction with isopropylamine (V) in refluxing methanol, and a final treatment with ethereal HCl is performed.

Drug Information Express,Drug R&D,Chemical Database,Patent Search.
Copyright © 2006-2026 Drug Future. All rights reserved.Contact Us