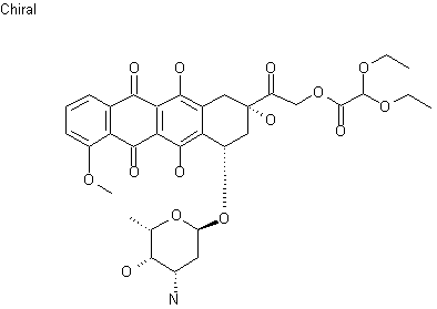
【药物名称】Detorubicin, RP-33921, DEA-14-DNR
化学结构式(Chemical Structure):
参考文献No.63639
标题:Detorubicin
作者:Blancafort, P.; Bernard, J.; Casta馿r, J.; Serradell, M.N.; Jacquillat, C.
来源:Drugs Fut 1981,6(3),139
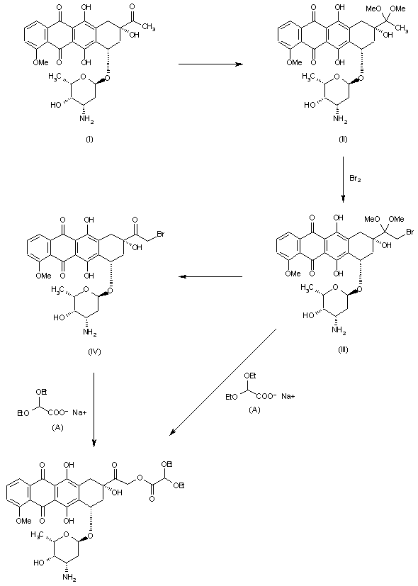
合成路线图解说明:

The ketalization of daunorubicin (I) in the usual way gives daunorubicin-13-dimethylketal (II), which is brominated to 14-bromodaunorubicin-13-dimethylketal (III). The hydrolysis of (III) yields 14-bromodaunorubicin (IV), which is finally treated with sodium diethoxyacetate in refluxing acetone. The title product can also be obtained by reaction of (III) with sodium diethoxyacetate (A) in the same way.

参考文献No.800440
标题:Preparation and experimental antitumor activity of a new semi-synthetic compound: 14-Diethoxy daunorubicin (RP 33921)
作者:Maral, R.; et al.
来源:Compt Rend Acad Sci 1978,443-446
合成路线图解说明:

The ketalization of daunorubicin (I) in the usual way gives daunorubicin-13-dimethylketal (II), which is brominated to 14-bromodaunorubicin-13-dimethylketal (III). The hydrolysis of (III) yields 14-bromodaunorubicin (IV), which is finally treated with sodium diethoxyacetate in refluxing acetone. The title product can also be obtained by reaction of (III) with sodium diethoxyacetate (A) in the same way.

Drug Information Express,Drug R&D,Chemical Database,Patent Search.
Copyright © 2006-2026 Drug Future. All rights reserved.Contact Us