【药物名称】alpha-Difluoromethylornithine hydrochloride, Eflornithine hydrochloride, MDL-71782A, RMI-71782, DFMO, Vaniqa, Ornidyl
化学结构式(Chemical Structure):
参考文献No.44910
标题:2-(Difluoromethyl)-2,5-diaminopentanoic acid
作者:Jung, M.; Bey, P. (Aventis Pharma SA)
来源:US 4413141
合成路线图解说明:

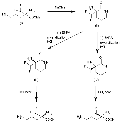
The optical resolution of 2,5-diamino-2-(difluoromethyl)pentanoic acid is performed as follows: The cyclization of its corresponding methyl ester (I) by means of sodium methoxide in methanol gives the racemic piperidone (II), which is submitted to optical resolution with (-)-binaphthylphosphoric acid yielding after crystallization and acidification with HCl the (+) and (-) piperidones (III) and (IV). Finally, both compounds are treated with refluxing 6N HCl to afford the target enantiomers.

参考文献No.63706
标题:D,L-alpha-Difluoromethyl ornithine
作者:Casta馿r, J.; Blancafort, P.; Serradell, M.N.
来源:Drugs Fut 1981,6(3),142
合成路线图解说明:

By reaction of N2,N5-dibenzylidinolysine methly ester (I), with chlorodifluoromethane (II) in the presence of lithium diisopropylamide, followed by acid hydrolysis of the ester. Isolated as the monohydrochloride salt, monohydrate.

参考文献No.700866
标题:D,L-alpha-Difluoromethyl ornithine-RMI 71782
作者:Schijvenaars, M.; Franke, B.; Mariman, E.C.M.; Steegers-Theunissen, R.; Willemen, J.; Groenen, P.; Klootwijk, R.; Hol, F.
来源:Product data sheet, Centre de recherche Merrell, Strasbourg Cedex 2002,Abst 1027
合成路线图解说明:

By reaction of N2,N5-dibenzylidinolysine methly ester (I), with chlorodifluoromethane (II) in the presence of lithium diisopropylamide, followed by acid hydrolysis of the ester. Isolated as the monohydrochloride salt, monohydrate.

参考文献No.800204
标题:Catalytic irreversible inhibition of mammalial ornithine decarboxylase (E.C.4.1.1.17) by substrate and product analogues
作者:Metcalf, B.W.; et al.
来源:J Am Chem Soc 1978,1002551-53
合成路线图解说明:

By reaction of N2,N5-dibenzylidinolysine methly ester (I), with chlorodifluoromethane (II) in the presence of lithium diisopropylamide, followed by acid hydrolysis of the ester. Isolated as the monohydrochloride salt, monohydrate.

Drug Information Express,Drug R&D,Chemical Database,Patent Search.
Copyright © 2006-2026 Drug Future. All rights reserved.Contact Us