【药物名称】CL-218872
化学结构式(Chemical Structure):
参考文献No.63645
标题:CL-218,872
作者:Owen, R.T.; Serradell, M.N.; Blancafort, P.; Casta馿r, J.
来源:Drugs Fut 1983,8(3),191
合成路线图解说明:

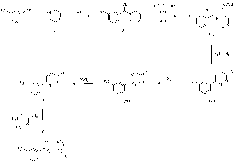
The reaction of 3-trifluoromethylbenzaldehyde (I) with morpholine (II) and potassium cyanide by means of p-toluenesulfonic acid in refluxing THF gives alpha-(3-trifluoromethylphenyl)-4-morpholineacetonitrile (III), which is condensed with ethyl acrylate (IV) by means of KOH in THF yielding gamma-cyano-gamma-(3-trifluoromethylphenyl)-4-morpholinebutyric acid ethyl ester (V). The cyclization of (V) with hydrazine in refluxing ethanol affords 4,5-dihydro-6-(3-trifluoromethylphenyl)-3(2H)-pyridazinone (VI), which is dehydrogenated by treatment with Br2 in hot acetic acid to give 6-(3-trifluoromethylphenyl)-3(2H)-pyridazinone (VII). The reaction of (VII) with POCl3 at 100 C affords 3-chloro-6-(3-trifluoromethylphenyl)pyridazine (VIII), which is finally cyclized with acetylhydrazine (IX) in refluxing n-butanol.

参考文献No.607589
标题:Synthesis and anxiolytic activity of 6-(substituted-phenyl)-1,2,4-triazolo[4,3-b]pyridazines
作者:Albright, J.D.; Moran, D.B.; Wright, W.B. Jr.; Collins, J.B.; Beer, B.; Lippa, A.S.; Greenblatt, E.N.
来源:J Med Chem 1981,24(5),592-600
合成路线图解说明:

The reaction of 3-trifluoromethylbenzaldehyde (I) with morpholine (II) and potassium cyanide by means of p-toluenesulfonic acid in refluxing THF gives alpha-(3-trifluoromethylphenyl)-4-morpholineacetonitrile (III), which is condensed with ethyl acrylate (IV) by means of KOH in THF yielding gamma-cyano-gamma-(3-trifluoromethylphenyl)-4-morpholinebutyric acid ethyl ester (V). The cyclization of (V) with hydrazine in refluxing ethanol affords 4,5-dihydro-6-(3-trifluoromethylphenyl)-3(2H)-pyridazinone (VI), which is dehydrogenated by treatment with Br2 in hot acetic acid to give 6-(3-trifluoromethylphenyl)-3(2H)-pyridazinone (VII). The reaction of (VII) with POCl3 at 100 C affords 3-chloro-6-(3-trifluoromethylphenyl)pyridazine (VIII), which is finally cyclized with acetylhydrazine (IX) in refluxing n-butanol.

参考文献No.701219
标题:6-Phenyl-1,2,4-triazolo{8 4,3-b{9 pyridazine hypotensive agents
作者:Allen, G.R. Jr.; Hanifin, J.W. Jr.; Moran, D.B.; Albright, J.D.
来源:US 4112095
合成路线图解说明:

The reaction of 3-trifluoromethylbenzaldehyde (I) with morpholine (II) and potassium cyanide by means of p-toluenesulfonic acid in refluxing THF gives alpha-(3-trifluoromethylphenyl)-4-morpholineacetonitrile (III), which is condensed with ethyl acrylate (IV) by means of KOH in THF yielding gamma-cyano-gamma-(3-trifluoromethylphenyl)-4-morpholinebutyric acid ethyl ester (V). The cyclization of (V) with hydrazine in refluxing ethanol affords 4,5-dihydro-6-(3-trifluoromethylphenyl)-3(2H)-pyridazinone (VI), which is dehydrogenated by treatment with Br2 in hot acetic acid to give 6-(3-trifluoromethylphenyl)-3(2H)-pyridazinone (VII). The reaction of (VII) with POCl3 at 100 C affords 3-chloro-6-(3-trifluoromethylphenyl)pyridazine (VIII), which is finally cyclized with acetylhydrazine (IX) in refluxing n-butanol.

Drug Information Express,Drug R&D,Chemical Database,Patent Search.
Copyright © 2006-2026 Drug Future. All rights reserved.Contact Us