【药物名称】Carboxyimamidate, Carbetimer, NSC-329514D, NED-137, N-137, Plimar, Polima
化学结构式(Chemical Structure):
参考文献No.63611
标题:N-137
作者:Hopkins, S.J.; Casta馿r, J.; Serradell, M.N.; Blancafort, P.
来源:Drugs Fut 1983,8(3),210
合成路线图解说明:

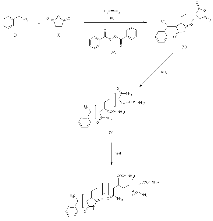
The copolymerization of ethylene (III) and maleic anhydride (II) in ethylbenzene (I) by means of benzoyl peroxide (IV) at 70 C gives an ethylene/maleic anhydride copolymer (V), which is ammoniated by treating with liquid ammonia in acetone yielding the ammoniated ethylene/maleic acid copolymer (VI). Finally, this product is imidated partially by heating in refluxing xylene.

参考文献No.607574
标题:Carboxyimidate, a low-molecular-weight polyelectrolyte with antitumor properties and low toxixity
作者:Fields, J.E.; Asculai, S.S.; Johnson, J.H.; Johnson, R.K.
来源:J Med Chem 1982,25(9),1060-64
合成路线图解说明:

The copolymerization of ethylene (III) and maleic anhydride (II) in ethylbenzene (I) by means of benzoyl peroxide (IV) at 70 C gives an ethylene/maleic anhydride copolymer (V), which is ammoniated by treating with liquid ammonia in acetone yielding the ammoniated ethylene/maleic acid copolymer (VI). Finally, this product is imidated partially by heating in refluxing xylene.

Drug Information Express,Drug R&D,Chemical Database,Patent Search.
Copyright © 2006-2026 Drug Future. All rights reserved.Contact Us