【药物名称】Mesulergine hydrochloride, CU-32085, CQ-32085
化学结构式(Chemical Structure):
参考文献No.46475
标题:Sulfonamido and sulfamoylamino-ergoline-I derivatives
作者:Stuetz, P.; Fehr, T.; Stadler, P. (Novartis AG)
来源:BE 0849745; CA 1092100; CH 620441; DE 2656344; ES 454442; FR 2336135; GB 1567484; JP 7778900; NL 7614018
合成路线图解说明:

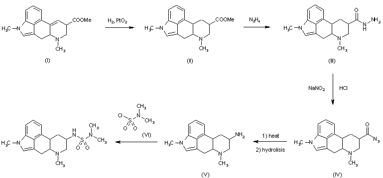
The hydrogenation of 1-methyl-7,8-lysergic acid ethyl ester (I) with H2 over PtO2 gives 1-methyl-9,10-dihydroisolysergic acid methyl ester (II), which by reaction with hydrazine is converted into the corresponding hydrazide (III). The reaction of (III) with NaNO2-HCl yields the expected azide (IV), which is submitted to a Curtius degradation by heating and hydrolysis to afford 1,6-dimethyl-8(alpha)-aminoergoline (V). Finally, this compound is treated with N,N-dimethylsulfamoyl chloride (VI) and 2,6-lutidine in methylene chloride.

参考文献No.63582
标题:Mesulergine Hydrochloride
作者:Serradell, M.N.; Koch, H.; Casta馿r, J.
来源:Drugs Fut 1984,9(3),191
合成路线图解说明:

The hydrogenation of 1-methyl-7,8-lysergic acid ethyl ester (I) with H2 over PtO2 gives 1-methyl-9,10-dihydroisolysergic acid methyl ester (II), which by reaction with hydrazine is converted into the corresponding hydrazide (III). The reaction of (III) with NaNO2-HCl yields the expected azide (IV), which is submitted to a Curtius degradation by heating and hydrolysis to afford 1,6-dimethyl-8(alpha)-aminoergoline (V). Finally, this compound is treated with N,N-dimethylsulfamoyl chloride (VI) and 2,6-lutidine in methylene chloride.

Drug Information Express,Drug R&D,Chemical Database,Patent Search.
Copyright © 2006-2026 Drug Future. All rights reserved.Contact Us