【药物名称】Acifran, AY-25712, Reductol
化学结构式(Chemical Structure):
参考文献No.63571
标题:AY-25,712
作者:Serradell, M.N.; Blancafort, P.; Grau, M.; Casta馿r, J.
来源:Drugs Fut 1983,8(3),184
合成路线图解说明:

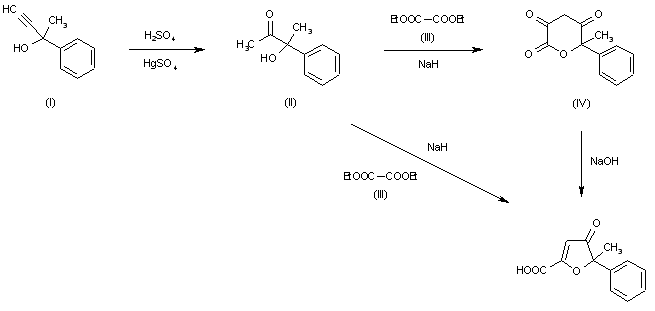
This compound can be obtained by two related ways: 1) The hydrolysis of 3-hydroxy-3-phenyl-1-butyne (I) with aqueous H2SO4 catalyzed by mercuric sulfate gives 3-hydroxy-3-phenyl-2-butanone (II), which is cyclized and decarboxylated by reaction with diethyl oxalate (III) and NaH in hot THF. 2) When the reaction of (II) with (III) is carried out under milder conditions 6-methyl-6-phenyltetrahydropyran-2,3,5-trione (IV) is obtained. This compound is then treated with aqueous NaOH at pH 11.

参考文献No.701220
标题:Process for preparing 4,5-dihydro-4-oxofuran-2-carboxylic acid derivatives
作者:Jirkovsky, J.L.; Dvornik, D.; Cayen, M.N.
来源:EP 0006305; ES 8100283; US 4169202; WO 8000025
合成路线图解说明:

This compound can be obtained by two related ways: 1) The hydrolysis of 3-hydroxy-3-phenyl-1-butyne (I) with aqueous H2SO4 catalyzed by mercuric sulfate gives 3-hydroxy-3-phenyl-2-butanone (II), which is cyclized and decarboxylated by reaction with diethyl oxalate (III) and NaH in hot THF. 2) When the reaction of (II) with (III) is carried out under milder conditions 6-methyl-6-phenyltetrahydropyran-2,3,5-trione (IV) is obtained. This compound is then treated with aqueous NaOH at pH 11.

Drug Information Express,Drug R&D,Chemical Database,Patent Search.
Copyright © 2006-2026 Drug Future. All rights reserved.Contact Us