【药物名称】Aniracetam, Ro-13-5057, Reset, Ampamet, Sarpul, Draganon
化学结构式(Chemical Structure):
参考文献No.46009
标题:1-(p-Methoxy-p-hydroxy, and p-benzyloxybenzoyl)-2-pyrrolidinones
作者:Kyburz, E.; Aschwanden, W. (F. Hoffmann-La Roche AG)
来源:DD 141828; EP 0005143; EP 0044088; ES 477587; ES 483756; JP 54117468
合成路线图解说明:

The silylation of 4-acetoxy-2-pyrrolidone (I) with trimethylchlorosilane (II) by means of triethyl amine in THF gives the corresponding N-trimethylsilyl derivative (III), which is condensed with 4-methoxybenzoyl chloride (IV) by means of NaHCO3 in THF yielding 1-(4-methoxybenzoyl)pyrrolin-2-one (V). Finally, this compound is reduced with H2 over Pd/C in ethyl acetate.

合成路线图解说明:

The condensation of 4-aminobutyric acid (VI) with acid chloride (IV) by means of NaOH in water gives 4-(4-methoxybenzoylamino)butyric acid (VII), which is then cyclized by means of P2O5 in phosphoric acid.

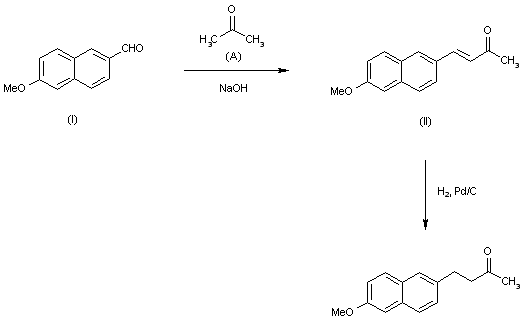
合成路线图解说明:

The condensation of 6-methoxy-2-naphthaldehyde (I) with acetone by means of NaOH in water gives 4-(6-methoxy-2-naphtyl)-3-buten-2-one (II), which is reduced with H2 over Pd/C in ethyl acetate.

参考文献No.63593
标题:Aniracetam
作者:Blancafort, P.; Serradell, M.N.; Mealy, N.E.; Leeson, P.A.; Casta馿r, J.
来源:Drugs Fut 1981,6(3),127
合成路线图解说明:

By reaction of 2-pyrrolidinone (I) with p-methoxybenzoyl chloride (II) by means of triethylamine in ether or sodium hydride in DMF.

参考文献No.700839
标题:1-(P-Methoxy, p-hydroxy and p-benzyloxybenzoyl)-2-pyrrolidinones
作者:Kyburz, E.; Aschwanden, W.
来源:EP 0005143; JP 54117468; US 4369139
合成路线图解说明:

By reaction of 2-pyrrolidinone (I) with p-methoxybenzoyl chloride (II) by means of triethylamine in ether or sodium hydride in DMF.

Drug Information Express,Drug R&D,Chemical Database,Patent Search.
Copyright © 2006-2026 Drug Future. All rights reserved.Contact Us