【药物名称】Aspoxicillin, TA-058, Doyle
化学结构式(Chemical Structure):
参考文献No.46993
标题:Penicillins and processes for preparing the same
作者:Kawazu, M.; et al. (Tanabe Seiyaku Co., Ltd.)
来源:DE 2638067; FR 2323384; NL 7610151; US 4053609
合成路线图解说明:

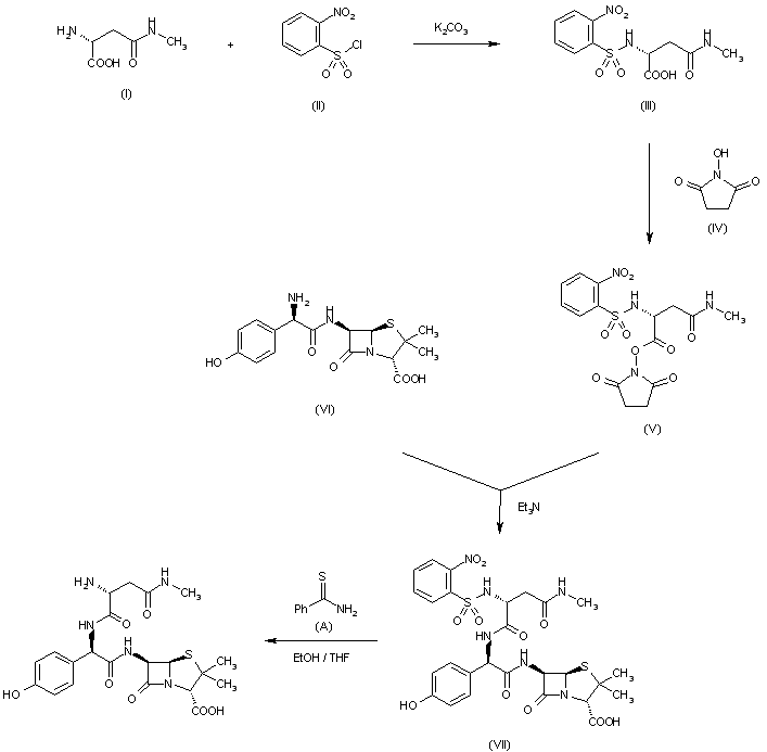
The reaction of 2-amino-3-(N-methylcarbamoyl)propionic acid (I) with 2-nitrophenylsulfonylchloride (II) by means of K2CO3 in THF gives 2-(2-nitrophenylsulfonylamino)-3-(N-methylcarbamoyl)propionic acid (III), which is esterified with N-hydroxysuccinimide (IV) by means of dicyclohexylcarbodiimide in THF yielding the corresponding N-succinimido ester (V). The condensation of (V) with amoxicillin [6-[alpha-amino-alpha-(4-hydroxyphenyl)acetylamino]penicillanic acid] (VI) by means of triethylamine in THF-CHCl3 affords 6-[alpha[2-(2-nitrophenylsulfonylamino)-3-N-methylcarbamoylpropionamido]-alpha-(4-hydroxyphenyl)acetamido]penicillanic acid (VII). Finally, the sulfonic group is eliminated by treatment with thiobenzamide (A) in ethanol-THF.

合成路线图解说明:

Compound (VII) can also be obtained by condensation of 6-aminopenicillanic acid (VIII) with the N-succinimido ester of alpha-[2-(2-nitrophenylsulfonylamino)-3-(N-methylcarbamoyl)propionamido]-alpha-(4-hydroxyphenyl)acetic acid (IX). Finally, the sulfonic group of (VII) is eliminated by treatment with thiobenzamide (A) in ethanol-THF.

参考文献No.49249
标题:TA-058
作者:Casta馿r, J.; Blancafort, P.; Serradell, M.N.
来源:Drugs Fut 1980,5(3),151
合成路线图解说明:

The reaction of 2-amino-3-(N-methylcarbamoyl)propionic acid (I) with 2-nitrophenylsulfonylchloride (II) by means of K2CO3 in THF gives 2-(2-nitrophenylsulfonylamino)-3-(N-methylcarbamoyl)propionic acid (III), which is esterified with N-hydroxysuccinimide (IV) by means of dicyclohexylcarbodiimide in THF yielding the corresponding N-succinimido ester (V). The condensation of (V) with amoxicillin [6-[alpha-amino-alpha-(4-hydroxyphenyl)acetylamino]penicillanic acid] (VI) by means of triethylamine in THF-CHCl3 affords 6-[alpha[2-(2-nitrophenylsulfonylamino)-3-N-methylcarbamoylpropionamido]-alpha-(4-hydroxyphenyl)acetamido]penicillanic acid (VII). Finally, the sulfonic group is eliminated by treatment with thiobenzamide (A) in ethanol-THF.

合成路线图解说明:

Compound (VII) can also be obtained by condensation of 6-aminopenicillanic acid (VIII) with the N-succinimido ester of alpha-[2-(2-nitrophenylsulfonylamino)-3-(N-methylcarbamoyl)propionamido]-alpha-(4-hydroxyphenyl)acetic acid (IX). Finally, the sulfonic group of (VII) is eliminated by treatment with thiobenzamide (A) in ethanol-THF.

Drug Information Express,Drug R&D,Chemical Database,Patent Search.
Copyright © 2006-2026 Drug Future. All rights reserved.Contact Us