【药物名称】Sercloremine hydrochloride, CGP-4718A
化学结构式(Chemical Structure):
参考文献No.45877
标题:Anti-depressant benzofuranyl piperidines
作者:Bernasconi, R.; Schenker, K. (Novartis Corp.)
来源:CH 592656; CH 605926; DE 2408476; FR 2219781; JP 49117474; JP 58004781; US 210655
合成路线图解说明:

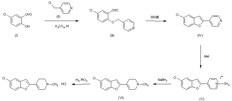
The condensation of 5-chlorosalicyialdehyde (I) with 4-chloromethylpyridine (II) by means of K2CO3 / KI in hot DMF gives 5-chloro-2-[(4-pyridyl)methoxy]benzaldehyde (III), which is cyclized by heating at 300 C to afford 5-chloro-2-(4-pyridyl)benzofurane (IV). Quaternization of (IV) with methyl iodide in hot methanol yields 1-methyl-4-(5-chloro-2-benzofuranyl)pyridinium iodide (V), which is hydrogenated with NaBH4 in methanol giving 5-chloro-2-(1-methyl-1,2,3,6-tetrahydro-4-pyridyl)benzofurane (VI). Finally, this compound is hydrogenated further with H2 over PtO2 in methanol.

参考文献No.63049
标题:Sercloremine Hydrochloride
作者:Casta馿r, J.; Serradell, M.N.
来源:Drugs Fut 1986,11(2),126
合成路线图解说明:

The condensation of 5-chlorosalicyialdehyde (I) with 4-chloromethylpyridine (II) by means of K2CO3 / KI in hot DMF gives 5-chloro-2-[(4-pyridyl)methoxy]benzaldehyde (III), which is cyclized by heating at 300 C to afford 5-chloro-2-(4-pyridyl)benzofurane (IV). Quaternization of (IV) with methyl iodide in hot methanol yields 1-methyl-4-(5-chloro-2-benzofuranyl)pyridinium iodide (V), which is hydrogenated with NaBH4 in methanol giving 5-chloro-2-(1-methyl-1,2,3,6-tetrahydro-4-pyridyl)benzofurane (VI). Finally, this compound is hydrogenated further with H2 over PtO2 in methanol.

Drug Information Express,Drug R&D,Chemical Database,Patent Search.
Copyright © 2006-2026 Drug Future. All rights reserved.Contact Us