【药物名称】Spirogermanium hydrochloride, SG, NSC-192965, Spiro-32
化学结构式(Chemical Structure):
参考文献No.63599
标题:Spirogermanium Hydrochloride
作者:Casta馿r, J.
来源:Drugs Fut 1980,5(3),149
合成路线图解说明:

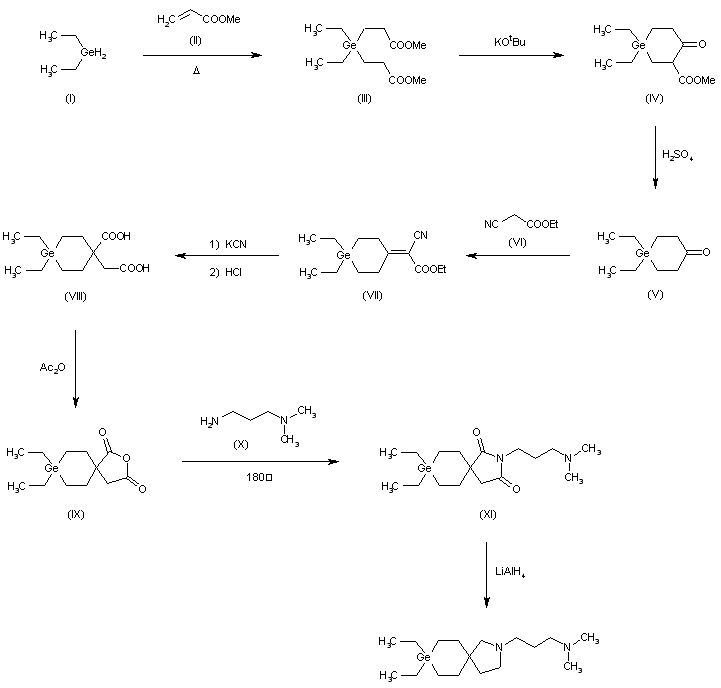
The condensation of diethylgermanium dihydride (I) with methyl acrylate (II) gives diethyldi-(beta-carbomethoxyethyl)germane (III), which is cyclized by treatment with potassium tert-butoxide in refluxing toluene yielding carbomethoxy-4,4-diethyl-4-germacyclohexanone (IV). The decarboxylative hydrolysis of (IV) with refluxing 20% aqueous H2SO4 affords 4,4-diethyl-4-germacyclohexanone (V), which is condensed with ethyl cyanoacetate (VI) by means of ammonium acetate acetic acid in refluxing benzene giving ethyl alpha-cyano-alpha-(4,4-diethyl-4-germacyclohexylidene)acetate (VII). The treatment of (VII) with KCN in ethanol-water, and then with refluxing aqueous HCl yields 4,4-diethyl-4-germacyclohexane-1-carboxy-1-acetic acid (VIII), which is then converted into its cyclic anhydride (IX) by reaction with refluxing acetic anhydride. The reaction of (IX) with 3-dimethylaminopropylamine (X) at 180 C gives N-(3-dimethylaminopropyl)-2-aza-8,8-diethyl-8-germaspiro[4.5]decane-1,3-dione (XI), which is finally reduced with LiAlH4 in benzene-ether.

参考文献No.701388
标题:
作者:Rice, L.M.
来源:US 3825546
合成路线图解说明:

The condensation of diethylgermanium dihydride (I) with methyl acrylate (II) gives diethyldi-(beta-carbomethoxyethyl)germane (III), which is cyclized by treatment with potassium tert-butoxide in refluxing toluene yielding carbomethoxy-4,4-diethyl-4-germacyclohexanone (IV). The decarboxylative hydrolysis of (IV) with refluxing 20% aqueous H2SO4 affords 4,4-diethyl-4-germacyclohexanone (V), which is condensed with ethyl cyanoacetate (VI) by means of ammonium acetate acetic acid in refluxing benzene giving ethyl alpha-cyano-alpha-(4,4-diethyl-4-germacyclohexylidene)acetate (VII). The treatment of (VII) with KCN in ethanol-water, and then with refluxing aqueous HCl yields 4,4-diethyl-4-germacyclohexane-1-carboxy-1-acetic acid (VIII), which is then converted into its cyclic anhydride (IX) by reaction with refluxing acetic anhydride. The reaction of (IX) with 3-dimethylaminopropylamine (X) at 180 C gives N-(3-dimethylaminopropyl)-2-aza-8,8-diethyl-8-germaspiro[4.5]decane-1,3-dione (XI), which is finally reduced with LiAlH4 in benzene-ether.

参考文献No.800475
标题:Spirans. XXII. Synthesis of 4,4-dialkyl-4-germacyclohexanone and 8,8-dialkyl-8-germaazaspiro[4,5]decanes
作者:Rice, L.M.; et al.
来源:J Heterocycl Chem 1974,11(6),1041-47
合成路线图解说明:

The condensation of diethylgermanium dihydride (I) with methyl acrylate (II) gives diethyldi-(beta-carbomethoxyethyl)germane (III), which is cyclized by treatment with potassium tert-butoxide in refluxing toluene yielding carbomethoxy-4,4-diethyl-4-germacyclohexanone (IV). The decarboxylative hydrolysis of (IV) with refluxing 20% aqueous H2SO4 affords 4,4-diethyl-4-germacyclohexanone (V), which is condensed with ethyl cyanoacetate (VI) by means of ammonium acetate acetic acid in refluxing benzene giving ethyl alpha-cyano-alpha-(4,4-diethyl-4-germacyclohexylidene)acetate (VII). The treatment of (VII) with KCN in ethanol-water, and then with refluxing aqueous HCl yields 4,4-diethyl-4-germacyclohexane-1-carboxy-1-acetic acid (VIII), which is then converted into its cyclic anhydride (IX) by reaction with refluxing acetic anhydride. The reaction of (IX) with 3-dimethylaminopropylamine (X) at 180 C gives N-(3-dimethylaminopropyl)-2-aza-8,8-diethyl-8-germaspiro[4.5]decane-1,3-dione (XI), which is finally reduced with LiAlH4 in benzene-ether.

Drug Information Express,Drug R&D,Chemical Database,Patent Search.
Copyright © 2006-2026 Drug Future. All rights reserved.Contact Us