【药物名称】Bay-k-8644
化学结构式(Chemical Structure):
参考文献No.46473
标题:Dihydropyridines having a positive inotropic effect, novel compounds, their use in medicaments, and processes for their preparation
作者:Bossert, F.; Franckowiak, G.; Boeshagen, H.; Goldmann, S.; Schramm, M.; Thomas, G.; Meyer, H.; Towart, R.; Wehinger, E. (Bayer AG)
来源:BE 0893984; DE 3130041; ZA 8205456
合成路线图解说明:

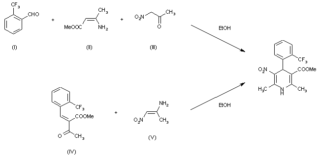
This compound can be obtained by two different ways: 1) By cyclization of 2-trifluoromethylbenzaldehyde (I) with methyl 3-amino crotonate (II) and nitropropanone (III) in refluxing ethanol. 2) By cyclization of methyl 2-(2-trifluoromethylbenzylidene)acetoacetate (IV) with 2-amino-1-nitropropene (V) in refluxing ethanol.

参考文献No.46623
标题:Nitro-substituted 1,4-dihydropyridines, processes for their production and their medicinal use
作者:Bossert, F.; Franckowiak, G.; Heise, A.; Kazda, S.; Meyer, H.; Stoepel, K.; Towart, R.; Wehinger, E. (Bayer AG)
来源:DE 2752820; EP 0002208; ES 475379; ES 480350; ES 480351; JP 54081279
合成路线图解说明:

This compound can be obtained by two different ways: 1) By cyclization of 2-trifluoromethylbenzaldehyde (I) with methyl 3-amino crotonate (II) and nitropropanone (III) in refluxing ethanol. 2) By cyclization of methyl 2-(2-trifluoromethylbenzylidene)acetoacetate (IV) with 2-amino-1-nitropropene (V) in refluxing ethanol.

参考文献No.63590
标题:BAY-K-8644
作者:Casta馿r, J.; Serradell, M.N.
来源:Drugs Fut 1984,9(3),168
合成路线图解说明:

This compound can be obtained by two different ways: 1) By cyclization of 2-trifluoromethylbenzaldehyde (I) with methyl 3-amino crotonate (II) and nitropropanone (III) in refluxing ethanol. 2) By cyclization of methyl 2-(2-trifluoromethylbenzylidene)acetoacetate (IV) with 2-amino-1-nitropropene (V) in refluxing ethanol.

Drug Information Express,Drug R&D,Chemical Database,Patent Search.
Copyright © 2006-2026 Drug Future. All rights reserved.Contact Us