【药物名称】Ciprofloxacin hydrochloride, Bay-o-9867 monohydrate, Septocipro, Ciprenit, Velmonit, Cipro XR, Ciproxan, Sarf, Cetraxal, Ciprobay, Ciloxan, Ciflox, Cipro, Eni, Ciproxin, Oftacilox
化学结构式(Chemical Structure):
参考文献No.43436
标题:1-Cyclopropyl-6-fluoro-1,4-dihidro-4-oxo-7-piperazino-quinoline-3-carboxilic acids, process for their preparation and antibacterial agents containing them
作者:Grohe, K.; Zeiler, H. J.; Metzger, K.G. (Bayer AG)
来源:EP 0078362; JP 4253963; JP 58074667
合成路线图解说明:

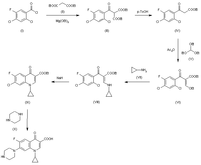
The condensation of 2,4-dichloro-5-fluorobenzoyl chloride (I) with diethyl malonate (II) by means of magnesium ethoxide in ether gives diethyl 2,4-dichloro-5-fluorobenzoylmalonate (III), which is partially hydrolyzed and decarboxylated with p-toluenesulfonic acid water yielding ethyl 2,4-dichloro-5-fluorobenzoylacetate (IV). The condensation of (IV) with triethyl orthoformate (V) in refluxing acetic anhydride affords ethyl 2-(2,4-dichloro-5-fluorobenzoyl)-3-ethoxyacrylate (VI), which is treated with cyclopropylamine (VII) in ethanol to give ethyl 2-(2,4-dichloro-5-fluorobenzoyl)-3-cyclopropylaminoacrylate (VIII). The cyclization of (VIII) with NaH in refluxing dioxane yields 7-chloro-1-cyclopropyl-6-fluoro-1,4-dihydro-4-oxoquinoline-3-carboxylic acid (IX), which is finally condensed with piperazine (X) in hot DMSO.

参考文献No.49245
标题:Ciprofloxacin
作者:Serradell, M.N.; Casta馿r, J.
来源:Drugs Fut 1984,9(3),179
合成路线图解说明:

The condensation of 2,4-dichloro-5-fluorobenzoyl chloride (I) with diethyl malonate (II) by means of magnesium ethoxide in ether gives diethyl 2,4-dichloro-5-fluorobenzoylmalonate (III), which is partially hydrolyzed and decarboxylated with p-toluenesulfonic acid water yielding ethyl 2,4-dichloro-5-fluorobenzoylacetate (IV). The condensation of (IV) with triethyl orthoformate (V) in refluxing acetic anhydride affords ethyl 2-(2,4-dichloro-5-fluorobenzoyl)-3-ethoxyacrylate (VI), which is treated with cyclopropylamine (VII) in ethanol to give ethyl 2-(2,4-dichloro-5-fluorobenzoyl)-3-cyclopropylaminoacrylate (VIII). The cyclization of (VIII) with NaH in refluxing dioxane yields 7-chloro-1-cyclopropyl-6-fluoro-1,4-dihydro-4-oxoquinoline-3-carboxylic acid (IX), which is finally condensed with piperazine (X) in hot DMSO.

参考文献No.635780
标题:Microwave assisted amination of quinolone carboxylic acids: An expeditious synthesis of fluoroquinolone antibacterials
作者:Reddy, P.G.; Baskaran, S.
来源:Tetrahedron Lett 2001,42(38),6775
合成路线图解说明:

The condensation of 2,4-dichloro-5-fluorobenzoyl chloride (I) with diethyl malonate (II) by means of magnesium ethoxide in ether gives diethyl 2,4-dichloro-5-fluorobenzoylmalonate (III), which is partially hydrolyzed and decarboxylated with p-toluenesulfonic acid water yielding ethyl 2,4-dichloro-5-fluorobenzoylacetate (IV). The condensation of (IV) with triethyl orthoformate (V) in refluxing acetic anhydride affords ethyl 2-(2,4-dichloro-5-fluorobenzoyl)-3-ethoxyacrylate (VI), which is treated with cyclopropylamine (VII) in ethanol to give ethyl 2-(2,4-dichloro-5-fluorobenzoyl)-3-cyclopropylaminoacrylate (VIII). The cyclization of (VIII) with NaH in refluxing dioxane yields 7-chloro-1-cyclopropyl-6-fluoro-1,4-dihydro-4-oxoquinoline-3-carboxylic acid (IX), which is finally condensed with piperazine (X) in hot DMSO.

Drug Information Express,Drug R&D,Chemical Database,Patent Search.
Copyright © 2006-2026 Drug Future. All rights reserved.Contact Us