【药物名称】Tolciclate, K-9147
化学结构式(Chemical Structure):
参考文献No.800737
标题:Tolciclate
作者:Casta馿r, J.; de Angelis, L.
来源:Drugs Fut 1976,1(11),543
合成路线图解说明:

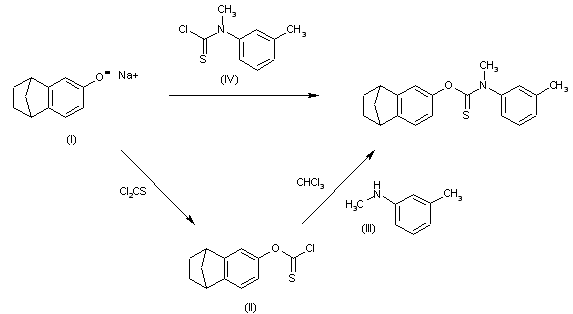
Compound can be prepared in two different ways both starting from sodium 1,4-methano-1,2,3,4-tetrahydro-6-naphthoxide (I): 1) The reaction of (I) with thiophosgene in chloroform gives O-(1,4-methano-1,2,3,4-tetrahydro-6-naphthyl)chlorothioformiate (II), n(20 C)(D) = 1.5930, which is then condensed with N-methyl-m-toluidine in the same solvent. 2) The condensation of (I) with N-methyl-N-(m-tolyl)thiocarbamoyl chloride (III) in acetone.

参考文献No.800738
标题:Tetrahydro-2-naphthyl ester derivatives of tinonocarbanilic acids
作者:Melloni, P.; et al.
来源:DE 2313845; FR 2181835; GB 1364407; JP 49005955; US 3855263
合成路线图解说明:

Compound can be prepared in two different ways both starting from sodium 1,4-methano-1,2,3,4-tetrahydro-6-naphthoxide (I): 1) The reaction of (I) with thiophosgene in chloroform gives O-(1,4-methano-1,2,3,4-tetrahydro-6-naphthyl)chlorothioformiate (II), n(20 C)(D) = 1.5930, which is then condensed with N-methyl-m-toluidine in the same solvent. 2) The condensation of (I) with N-methyl-N-(m-tolyl)thiocarbamoyl chloride (III) in acetone.

Drug Information Express,Drug R&D,Chemical Database,Patent Search.
Copyright © 2006-2026 Drug Future. All rights reserved.Contact Us