【药物名称】NECA
化学结构式(Chemical Structure):
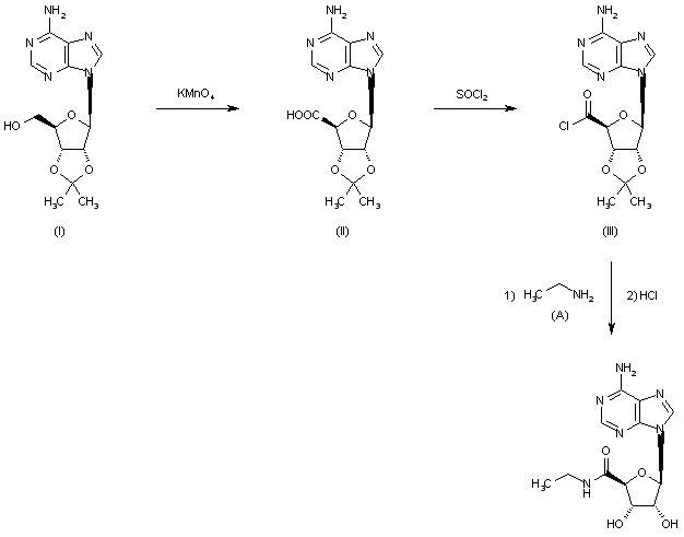
参考文献No.607202
标题:Modifications of the 5' position of purine nucleosides. 2. Synthesis and some cardiovascular properties of adenosine-5'-(N-substituted)carboxamides
作者:Prasad, R.N.; Bariana, D.S.; Fung, A.; Savic, M.; Tietje, K.; Stein, H.H.; Brondyk, H.; Egan, R.S.
来源:J Med Chem 1980,23(3),313-319
合成路线图解说明:

The oxidation of 2',3'-isopropylideneadenosine (I) with potassium permanganate gives 2',3'-isopropylideneadenosine-5'-carboxylic acid (II) which with SOCl2 affords 2',3'-isopropylideneadenosine-5'-carbonyl chloride (III), which is treated first with dry liquid ethylamine and then hydrolyzed with aqueous hydrochloric acid.

参考文献No.701379
标题:
作者:Stein, H.H.; Prasad, R.N.
来源:US 4029884
合成路线图解说明:

The oxidation of 2',3'-isopropylideneadenosine (I) with potassium permanganate gives 2',3'-isopropylideneadenosine-5'-carboxylic acid (II) which with SOCl2 affords 2',3'-isopropylideneadenosine-5'-carbonyl chloride (III), which is treated first with dry liquid ethylamine and then hydrolyzed with aqueous hydrochloric acid.

参考文献No.701380
标题:
作者:Stein, H.H.; Prasad, R.N.
来源:US 3966917
合成路线图解说明:

The oxidation of 2',3'-isopropylideneadenosine (I) with potassium permanganate gives 2',3'-isopropylideneadenosine-5'-carboxylic acid (II) which with SOCl2 affords 2',3'-isopropylideneadenosine-5'-carbonyl chloride (III), which is treated first with dry liquid ethylamine and then hydrolyzed with aqueous hydrochloric acid.

参考文献No.701381
标题:
作者:Stein, H.H.; Prasad, R.N.
来源:US 3931401
合成路线图解说明:

The oxidation of 2',3'-isopropylideneadenosine (I) with potassium permanganate gives 2',3'-isopropylideneadenosine-5'-carboxylic acid (II) which with SOCl2 affords 2',3'-isopropylideneadenosine-5'-carbonyl chloride (III), which is treated first with dry liquid ethylamine and then hydrolyzed with aqueous hydrochloric acid.

参考文献No.701382
标题:
作者:Stein, H.H.; Prasad, R.N.
来源:US 3914415
合成路线图解说明:

The oxidation of 2',3'-isopropylideneadenosine (I) with potassium permanganate gives 2',3'-isopropylideneadenosine-5'-carboxylic acid (II) which with SOCl2 affords 2',3'-isopropylideneadenosine-5'-carbonyl chloride (III), which is treated first with dry liquid ethylamine and then hydrolyzed with aqueous hydrochloric acid.

参考文献No.701383
标题:
作者:Stein, H.H.; Prasad, R.N.
来源:US 3914414
合成路线图解说明:

The oxidation of 2',3'-isopropylideneadenosine (I) with potassium permanganate gives 2',3'-isopropylideneadenosine-5'-carboxylic acid (II) which with SOCl2 affords 2',3'-isopropylideneadenosine-5'-carbonyl chloride (III), which is treated first with dry liquid ethylamine and then hydrolyzed with aqueous hydrochloric acid.

参考文献No.701384
标题:
作者:Stein, H.H.; Prasad, R.N.
来源:US 3830796
合成路线图解说明:

The oxidation of 2',3'-isopropylideneadenosine (I) with potassium permanganate gives 2',3'-isopropylideneadenosine-5'-carboxylic acid (II) which with SOCl2 affords 2',3'-isopropylideneadenosine-5'-carbonyl chloride (III), which is treated first with dry liquid ethylamine and then hydrolyzed with aqueous hydrochloric acid.

参考文献No.800461
标题:Permanganate oxidation of purine nucleosides
作者:Harman, R.E.; et al.
来源:Chem Ind 1969,1141
合成路线图解说明:

The oxidation of 2',3'-isopropylideneadenosine (I) with potassium permanganate gives 2',3'-isopropylideneadenosine-5'-carboxylic acid (II) which with SOCl2 affords 2',3'-isopropylideneadenosine-5'-carbonyl chloride (III), which is treated first with dry liquid ethylamine and then hydrolyzed with aqueous hydrochloric acid.

参考文献No.800463
标题:N1,N6-Etheno-adenosine 5'-(N-ethylcarboxamide)
作者:Tietje, K.; Prasad, R.N.
来源:Nucleic Acid Chemistry 1978,2701-707
合成路线图解说明:

The oxidation of 2',3'-isopropylideneadenosine (I) with potassium permanganate gives 2',3'-isopropylideneadenosine-5'-carboxylic acid (II) which with SOCl2 affords 2',3'-isopropylideneadenosine-5'-carbonyl chloride (III), which is treated first with dry liquid ethylamine and then hydrolyzed with aqueous hydrochloric acid.

参考文献No.800464
标题:NECA
作者:Serradell, M.N.; Blancafort, P.; Casta馿r, J.; Hopkins, S.J.
来源:Drugs Fut 1981,6(10),627
合成路线图解说明:

The oxidation of 2',3'-isopropylideneadenosine (I) with potassium permanganate gives 2',3'-isopropylideneadenosine-5'-carboxylic acid (II) which with SOCl2 affords 2',3'-isopropylideneadenosine-5'-carbonyl chloride (III), which is treated first with dry liquid ethylamine and then hydrolyzed with aqueous hydrochloric acid.

Drug Information Express,Drug R&D,Chemical Database,Patent Search.
Copyright © 2006-2026 Drug Future. All rights reserved.Contact Us