【药物名称】Fumagillin, SR-90144, Fugillin, Fumidil
化学结构式(Chemical Structure):
参考文献No.674378
标题:A concise synthesis of fumagillol
作者:Vosburg, D.A.; et al.
来源:Angew Chem. Int Ed Engl 1999,38(7),971
合成路线图解说明:

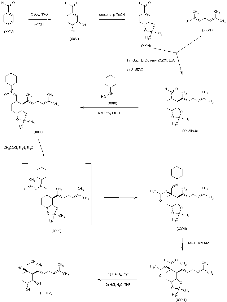
The synthesis of the racemic fumagillol (+/-)-(XXII) has also been reported. Regioselective dihydroxylation of 1,3-cyclohexadiene-1-carbaldehyde (XXIV) using N-methylmorpholine-N-oxide in the presence of a catalytic amount of OsO4 afforded the cis-diol (XXV), which was further protected as the isopropylidene ketal (XXVI). Conjugate addition to (XXVI) of the organocuprate reagent derived from vinyl bromide (XXVII) in the presence of BF3稥t2O produced (XXVIII) as a mixture of epimers at C-1, which were used without separation. Aldehyde (XXVIII) was converted to the cyclohexyl nitrone (XXX) upon treatment with N-cyclohexyl hydroxylamine (XXIX) and NaHCO-3. Acetylation of (XXX) produced a transitory N-vinyl-O-acetylhydroxylamine (XXXI) which underwent a [3,3] sigmatropic rearrangement to the alpha-acetoxy-N-cyclohexylimine (XXXII). Selective hydrolysis of the imine function of (XXXII) using HOAc/NaOAc furnished aldehyde (XXXIII). This was reduced with LiAlH4, followed by acidic hydrolysis of the isopropylidene ketal to yield the tetraol (XXXIV).

合成路线图解说明:

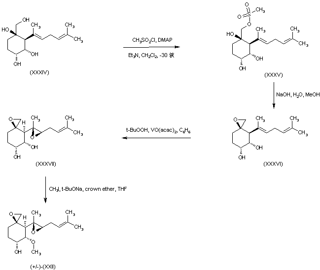
The primary alcohol group of (XXXIV) was selectively converted to mesylate (XXXV), which was subsequently treated with methanolic NaOH to afford the spiro-epoxide (XXXVI). Sharpless epoxidation of diene (XXXVI) in the presence of tert-butyl hydroperoxide and vanadyl acetylacetonate gave rise to the bis-epoxide (XXXVII) as the major diastereoisomer. Finally, regioselective hydroxyl group alkylation in (XXXVII) under Williamson's synthesis conditions furnished the racemic fumagillol (+/-)-(XXII).

参考文献No.674379
标题:Synthesis of (-)-fumagillin
作者:Taber, D.F.; et al.
来源:J Am Chem Soc 1999,121(23),5589
合成路线图解说明:

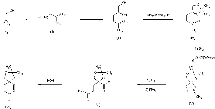
The chiral cyclohexenone intermediate (VII) was prepared as follows. Epoxide ring opening of (S)-glycidol (I) with the Grignard reagent (II) produced diol (III), which was protected as the isopropylidene ketal (IV) by treatment with 2,2-dimethoxypropane. Addition of bromine to olefin (IV) and further cyclization of the resultant dibromide in the presence of potassium hexamethyldisilazide gave rise to the spiro cyclopentene (V). Ozonolysis of (V), followed by reductive work-up, yielded the keto aldehyde (VI), which upon treatment with KOH underwent intramolecular aldol condensation to the target cyclopentenone (VII).

合成路线图解说明:

Lithiation of dihydrofuran (VIII), followed by the addition of tributylstannyllithium, gave an intermediate (IX) that was quenched with methyl iodide to produce alcohol (X). Silylation of alcohol (X) with tert-butyl dimethylsilyl chloride then gave silyl ether (XI). Copper-catalyzed conjugate addition of the organolithium reagent derived from (XI) to the intermediate enone (VII), with subsequent enolate trapping with triethylsilyl chloride, afforded adduct (XII) as the major diastereoisomer. Epoxidation of the silyl enol ether (XII) with m-chloroperbenzoic acid, followed by selective desilylation using tetrabutylammonium fluoride/ammonium chloride, gave rise to hydroxy ketone (XIII). Methylation of (XIII) in the presence of silver oxide yielded methyl ether (XIV). Then, the keto group of (XIV) was stereoselectively reduced to (XV) employing L-selectride. After protection of the hydroxyl group of (XV) as the benzoate ester, simultaneous deprotection of the ketal and silyl ether functions under acidic conditions provided triol (XVI). Oxidative cleavage of the 1,2-diol moiety of (XVI) with NaIO4 gave ketone (XVII). This was converted to epoxide (XVIII) by stereoselective addition of in situ generated trimethylsulfoxonium ylide.

合成路线图解说明:

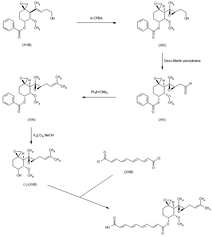
The second epoxide function was introduced into (XVIII) upon treatment with m-chloroperbenzoic acid, yielding (XIX). Oxidation of the primary alcohol of (XIX) to aldehyde (XX) was effected by means of Dess-Martin periodinane reagent. Subsequent Wittig reaction of aldehyde (XX) with isopropylidene triphenylphosphorane furnished olefin (XXI). The chiral fumagillol (-)-(XXII) was then obtained by hydrolysis of the benzoate ester (XXI) in the presence of methanolic K2CO3. Finally, condensation of alcohol (-)-(XXII) with the acid chloride (XXIII) led to the title compound.

参考文献No.717143
标题:Concise stereocontrolled routes to fumagillol, fumagillin, and TNP-470
作者:Vosburg, D.A.; Weiler, S.; Sorensen, E.J.
来源:Chirality 2003,15(2),156
合成路线图解说明:

The cyclization of the chiral diene (I) with acrolein (II) by means of BF3/Et2O in dichloromethane gives the chiral cyclohexene (III), which is dihydroxylated under Upjohn conditions (OsO4) yielding the dihydroxy compound (IV). The reaction of (IV) with acetone (V) and TsOH affords the isopropylidene derivative (VI), which is treated with NaOH in THF/water to eliminate the chiral auxiliary to yield the cyclohexene carbaldehyde (VII). The regio- and diastereoselective condensation of (VII) with bromide (VIII) by means of t-BuLi and BF3/Et2O affords the adduct (IX), which is treated with N-cyclohexyl-hydroxylamine (X) to provide the nitrone (XI). The reaction of (XI) with acetyl chloride gives the alpha-acetoxy-N-cyclohexylimine (XIII), through the intermediate (XII). The hydrolysis of (XIII) with AcOH and NaOAc yields the carbaldehyde (XIV), which is reduced with LiAlH4 in ethanol to afford the hydroxymethyl derivative (XV). The hydrolysis of the acetoxy and isopropylidene groups of (XV) by means of HCl in THF provides the tetrahydroxy derivative (XVI), which is converted into the epoxide (XVII) by a treatment with MsCl, TEA, DMAP and NaOH in dichloromethane. A new epoxidation of (XVII) by means of VO(acac)2 and t-BuOOH in benzene gives the bis-epoxide compound (XVIII), which is finally monomethylated by means of t-BuONa and MeI in THF to yield the target intermediate fumagillol (XIX).

合成路线图解说明:

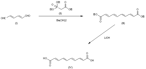
The Horner-Wadsworth-Emmons condensation of (E,E)-muconaldehyde (I) with triethyl phosphonoacetate (II) by means of Ba(OH)2 in THF/water gives (E,E,E,E)-decatetraenedioic acid diethyl ester (III), which is hydrolyzed with LiOH to provide the target intermediate; the (E,E,E,E)-decatetraenedioic acid (IV).

Drug Information Express,Drug R&D,Chemical Database,Patent Search.
Copyright © 2006-2026 Drug Future. All rights reserved.Contact Us