【药物名称】Mycophenolic acid, NSC-129185, Melbex
化学结构式(Chemical Structure):
参考文献No.723366
标题:Total synthesis of mycophenolic acid
作者:Covarrubias-Ziga, A.; Gonz醠ez-Lucas, A.; Dom韓guez, M.M.
来源:Tetrahedron 2003,59(11),1989
合成路线图解说明:

The cyclization of the 3-oxoglutarate (I) with the alkynal (II) gives the benzoate derivative (III), which is treated with CH3I and NaH to yield the dimethoxy benzoate (IV). The reduction o the formyl group of (IV) by means of NaBH4 affords the hydroxymethyl derivative (V), which is treated with MsCl and TEA to provide the mesylate (VI). The reduction of the mesylate group of (VI) by means of NaBH4 gives the methyl derivative (VII), which is cyclized by means of K2CO3 to yield the isobenzofuranone (VIII). The ozonolysis of the dimethylvinyl group of (VIII) affords the aldehyde (IX), which is oxidized with CrO3 to provide the carboxylic acid (X). The reaction of (X) with diazomethane gives the corresponding methyl ester (XI), which selectively demethylates with BCl3 in CH2Cl2 to yield mycophenolic acid methyl ester (XII). Finally, this compound is hydrolyzed with LiOH to provide the target carboxylic acid.

参考文献No.800607
标题:Mycophenolic acid
作者:Casta馿r, J.; Hillier, K.
来源:Drugs Fut 1978,3(8),594
合成路线图解说明:

The metal-ammonia reduction of 4,6-dimethoxy-m-xylene (I) gives 1,5-dimethyl-2,4-dimethoxy-1,4-cyclohexadiene (II), which by treatment with potassium tert-butoxide in DMSO is converted into the conjugated diene (III). The Dies-Alder reaction of (III) with dimethyl acetylenedicarboxylate (A), and subsequent elimination of the bridge affords dimethyl 3-methyl-4,6-dimethoxyphthalate (IV), which is selectively monodemethylated with BCl3 yielding the o-hydroxyphthalic ester (V). The hydrolysis and anhydrization of (V) gives 3-hydroxy-5-methoxy-6-methylphthalic anhydride (VI), which is reduced with Zn and HCl in acetic acid affording 4-methyl-5-methoxy-7-hydroxyphthalide (VII). The reaction of (VII) with allyl bromide (B) by means of K2CO3 in ether gives the allylic ether (VIII), which undergoes thermal rearrangement into 4-methyl-5-methoxy-7-hydroxy-6-allyl-phthalide (IX). The ozonolysis of (IX) affords the aldehyde (X), which by a Wittig condensation with 1-formylethylydenetriphenylphosphorane (XI) is converted into the new aldehyde (XII). A new Wittig reaction of (XII) with the phosphorane (XIII) gives the ethyl ester (XIV), which is finally hydrolyzed and partially reduced with diimide.

合成路线图解说明:

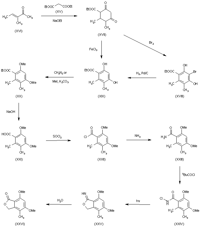
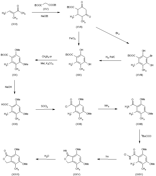
The condensation of diethyl malonate (XV) with 3-methylpent-3-en-2-one (XVI) by means of sodium ethoxide in ethanol gives 5,6-dimethyl-4-ethoxycarbonylcyclohexane-1,3-dione (XVII), which is aromatized to 5,6-dimethyl-4-ethoxycarbonylresorcinol (XIX) by treatment with FeCl3 in refluxing acetic acid, or by bromination to 2-bromo-5,6-dimethyl-4-ethoxycarbonylresorcinol and debromination with H2 over Pd/C. The methylation of (XIX) with diazomethane or methyl iodide and K2CO3 gives the corresponding dimethyl ether (XX), which is hydrolyzed with NaOH affording 2,4-dimethoxy-5,6-dimethylbenzoic acid (XXI). This acid by reaction with SOCl2 gives the acyl chloride (XXII), which by reaction with NH3 is converted into the amide (XXIII). The reaction of (XXIII) with tert-butyl hypochlorite affords the N-chloroamide (XXIV), which is photolyzed to the intermediate iminolactone (XXV) and immediately hydrolyzed to 4-methyl-5,7-dimethoxyphthalide (XXVI).

合成路线图解说明:

The reaction of (XXVI) with HI and red P in acetic acid gives 4-methyl-5,7-dihydroxyphthalide (XXVII), which is condensed with methyl 6-bromo-4-methyl-4-hexenoate (XXVIII) by means of Ag2O in dioxane yielding the methyl ester (XXIX). The monomethylation of (XXIX) with diazomethane in benzene affords the methyl ester of mycophenolic acid (XXX), which is finally hydrolyzed with aqueous NaOH.

参考文献No.800608
标题:A total synthesis of mycophenolic acid
作者:Wright, J.J.; Birch, A.J.
来源:J Chem Soc 1969,14788-789
合成路线图解说明:

The metal-ammonia reduction of 4,6-dimethoxy-m-xylene (I) gives 1,5-dimethyl-2,4-dimethoxy-1,4-cyclohexadiene (II), which by treatment with potassium tert-butoxide in DMSO is converted into the conjugated diene (III). The Dies-Alder reaction of (III) with dimethyl acetylenedicarboxylate (A), and subsequent elimination of the bridge affords dimethyl 3-methyl-4,6-dimethoxyphthalate (IV), which is selectively monodemethylated with BCl3 yielding the o-hydroxyphthalic ester (V). The hydrolysis and anhydrization of (V) gives 3-hydroxy-5-methoxy-6-methylphthalic anhydride (VI), which is reduced with Zn and HCl in acetic acid affording 4-methyl-5-methoxy-7-hydroxyphthalide (VII). The reaction of (VII) with allyl bromide (B) by means of K2CO3 in ether gives the allylic ether (VIII), which undergoes thermal rearrangement into 4-methyl-5-methoxy-7-hydroxy-6-allyl-phthalide (IX). The ozonolysis of (IX) affords the aldehyde (X), which by a Wittig condensation with 1-formylethylydenetriphenylphosphorane (XI) is converted into the new aldehyde (XII). A new Wittig reaction of (XII) with the phosphorane (XIII) gives the ethyl ester (XIV), which is finally hydrolyzed and partially reduced with diimide.

参考文献No.800609
标题:Total synthesis of mycophenolic acid
作者:Canonica, L.; et al.
来源:Tetrahedron Lett 1971,282691-92
合成路线图解说明:

The condensation of diethyl malonate (XV) with 3-methylpent-3-en-2-one (XVI) by means of sodium ethoxide in ethanol gives 5,6-dimethyl-4-ethoxycarbonylcyclohexane-1,3-dione (XVII), which is aromatized to 5,6-dimethyl-4-ethoxycarbonylresorcinol (XIX) by treatment with FeCl3 in refluxing acetic acid, or by bromination to 2-bromo-5,6-dimethyl-4-ethoxycarbonylresorcinol and debromination with H2 over Pd/C. The methylation of (XIX) with diazomethane or methyl iodide and K2CO3 gives the corresponding dimethyl ether (XX), which is hydrolyzed with NaOH affording 2,4-dimethoxy-5,6-dimethylbenzoic acid (XXI). This acid by reaction with SOCl2 gives the acyl chloride (XXII), which by reaction with NH3 is converted into the amide (XXIII). The reaction of (XXIII) with tert-butyl hypochlorite affords the N-chloroamide (XXIV), which is photolyzed to the intermediate iminolactone (XXV) and immediately hydrolyzed to 4-methyl-5,7-dimethoxyphthalide (XXVI).

合成路线图解说明:

The reaction of (XXVI) with HI and red P in acetic acid gives 4-methyl-5,7-dihydroxyphthalide (XXVII), which is condensed with methyl 6-bromo-4-methyl-4-hexenoate (XXVIII) by means of Ag2O in dioxane yielding the methyl ester (XXIX). The monomethylation of (XXIX) with diazomethane in benzene affords the methyl ester of mycophenolic acid (XXX), which is finally hydrolyzed with aqueous NaOH.

Drug Information Express,Drug R&D,Chemical Database,Patent Search.
Copyright © 2006-2026 Drug Future. All rights reserved.Contact Us