【药物名称】Cefoxitin, Mefoxitin, Mefoxin
化学结构式(Chemical Structure):
参考文献No.47587
标题:Antibiotics and processes for their production
作者:Christensen, B.G.; Cama, L.D. (Merck & Co., Inc.)
来源:DE 2203653; FR 2161866; GB 1350772
合成路线图解说明:

The reaction of the Schift base (XV) phenyllithium and CH3SCl (D) in DMF gives the corresponding methylthio derivative (XVI), which is debenzylated with 2,4-DNPH p-toluenesulfonate in ethanol yielding p-methoxybenzyl-7beta-amino-7alpha-thiomethyl-3-acetoxymethyl-3-cephem-4-carboxylate (XVII). The acylation of (XVII) with 2-thienylacetyl chloride (E) / pyridine in CH2Cl2 provided the corresponding 2-thienylacetamido derivative (XVIII), which by methanolysis in the presence of thallium trinitrate gives the 7alpha-methoxy derivative (XIX). The p-methoxybenzyl ester of (XIX) is cleaved with TFA-anisole affording 7alpha-methoxycephalothin-(7alpha-methoxy-7-(2-thienylacetamido)-3-acetoxymethyl-3-cephem-4-carboxylic acid) (XX), which is deacetylated with citrus acetyl enzyme yielding the corresponding hydroxymethyl compound (XXI). Finally, this compound is treated with chlorosulfonyl isocyanate in THF or acetonitrile.

合成路线图解说明:

The acylation and methoxylation of 7-aminocephalosporanic acid (XXII) to (XX) can also be performed as follows: The acid (XXII) is esterified with diphenyldiazomethane in dioxane giving the ester (XXXVI), which is treated with NaNO2 and p-toluenesulfonic acid in CH2Cl2 yielding benzhydryl 7-diazocephalosporanate (XXXVII). The reaction of this compound with BrN3 in CH2Cl2-acetonitrile affords benzhydryl 7alpha-bromo-7beta-azidocephalosporanate (XXXVIII), which by hydrolysis with MeOH and AgBF4 is converted into the corresponding 7beta-methoxy compound (XXXIX). Hydrogenation of the azido group of (XXXIX) with H2 over PtO2 in dioxane gives 7alpha-methoxy-7beta-aminocephalosporanate (XL), which is acylated with 2-thienylcarbonyl chloride (E) in CH2Cl2 affording benzhydryl-7alpha-methoxy-7beta-(2-thienylacetamido)cephalosporanate (XLI). Finally, this compound is hydrolyzed to (XX) with trifluoroacetic acid.

参考文献No.47588
标题:7-Azido-cephalosporin compounds and their preparation
作者:Christensen, B.G.; Ratcliffe, R.W. (Merck & Co., Inc.)
来源:DE 2365406; FR 2182953; GB 1424373; JP 49014488
合成路线图解说明:

The reaction of 1,3,5-tribenzylhexahydro-s-triazine (I) with diethyl phosphite (A) at 100 C gives N-benzylaminomethyldiethylphosphonate (II), which is debenzylated with H2 over Pd/C in ethanol yielding aminomethyldiethylphosphonate (III). The reaction of (III) with benzaldehyde (B) affords the Schiff base (IV), which by reaction with p-methoxybenzyl chloroformate (V) by means of phenyllithium in THF is converted into the acylated Schiff base (VI). The benzylidene group of (VI) is eliminated by reaction with 2,4-DNPH p-toluenesulfonate in ethanol, or the free acid in ether giving p-methoxybenzyl alpha-amino-diethylphosphonoacetate (VII), which is condensed with ethyl thionoformate (VIII) yielding the thioformamide (IX). The cyclization of the thioformamide (IX) with 1-chloro-3-acetoxy-2-propanone (X) by means of K2CO3 in acetone affords the thiazine (XI), which by a new cyclization with azidoacetyl chloride (XII) by means of triethylamine in CH2Cl2 is converted into p-methoxybenzyl-3-acetoxymethyl-7-azido-3-cephem-4-carboxylate (XIII). The hydrogenation of (XIII) with H2 over PtO2 in benzene yields the corresponding amino compound (XIV), which is converted into the 7beta-Schiff base (XV) by treatment with p-nitrobenzaldehyde (C) in CH2Cl2.

合成路线图解说明:

The reaction of the Schift base (XV) phenyllithium and CH3SCl (D) in DMF gives the corresponding methylthio derivative (XVI), which is debenzylated with 2,4-DNPH p-toluenesulfonate in ethanol yielding p-methoxybenzyl-7beta-amino-7alpha-thiomethyl-3-acetoxymethyl-3-cephem-4-carboxylate (XVII). The acylation of (XVII) with 2-thienylacetyl chloride (E) / pyridine in CH2Cl2 provided the corresponding 2-thienylacetamido derivative (XVIII), which by methanolysis in the presence of thallium trinitrate gives the 7alpha-methoxy derivative (XIX). The p-methoxybenzyl ester of (XIX) is cleaved with TFA-anisole affording 7alpha-methoxycephalothin-(7alpha-methoxy-7-(2-thienylacetamido)-3-acetoxymethyl-3-cephem-4-carboxylic acid) (XX), which is deacetylated with citrus acetyl enzyme yielding the corresponding hydroxymethyl compound (XXI). Finally, this compound is treated with chlorosulfonyl isocyanate in THF or acetonitrile.

参考文献No.47589
标题:Process for preparin cephalosporin compounds
作者:Hazen, G.C. (Merck & Co., Inc.)
来源:DD 100957; ES 408969; US 3780033
合成路线图解说明:

The hydrolysis of p-methoxybenzyl-7-aminocephalosporanate (XIV) with trifluoroacetic acid gives the corresponding tree acid (XXII), which is treated with tert-butoxycarbonylazide (F) yielding the tert-butoxycarbonylamidocephalosporanic acid (XXIII). This compound is deacetylated by treatment with citrus acetyl sterase in an aqueous phosphate buffer affording the 3-hydroxymethyl derivative (XXIV), which by reaction with chlorosulfonyl isocyanate gives the 3-carbamoyloxymethyl compound (XXV). The hydrolysis of (XXV) with TFA yields 3-carbamoyloxymethyl-7beta-amino-3-cephem-4-carboxylic acid (XXVI), which is esterified with diphenyldiazomethane in dioxane affording the benzhydryl ester (XXVII). The acylation of (XXVII) with 2-thienylcarbonyl chloride (E) in CH2Cl2 gives the acylated ester (XXVIII), which by methoxylation of (XXVIII) can also be performed through hydroxylation with phenyllithium and tert-butyl hypochlorite (G) in tert-butanol to the 7-hydroxy compound (XXXII), which is then methylated with diazomethane to (XXX). Finally, this compound is hydrolyzed with trifluoroacetic acid.

合成路线图解说明:

By reaction of acylated ester (XXVIII) with PCl5 and methanol in CH2Cl2 is converted into benzhydryl-3-carbamoyloxymethyl-7beta-[1-methoxy-2-(2-thienyl)ethylideneamino]-3-cephem-4-carboxylate (XXIX). The methoxylation of (XXIX) in the 7 position is performed either by reaction with phenyllithium and bis(methyl)peroxide in THF [or with phenyllithium and N-bromosuccinimide to the bromo intermediate (XXXI), which is then treated with silver oxide in methanol] yielding, in both cases, the benzhydryl ester of cefoxitin (XXX). Finally, this compound is hydrolyzed with trifluoroacetic acid.

参考文献No.47590
标题:Process for preparing penicillin and cephalosporin compounds
作者:Christensen, B.G.; Cama, L.D. (Merck & Co., Inc.)
来源:FR 2163144; GB 1401060; US 3843641
合成路线图解说明:

The hydrolysis of p-methoxybenzyl-7-aminocephalosporanate (XIV) with trifluoroacetic acid gives the corresponding tree acid (XXII), which is treated with tert-butoxycarbonylazide (F) yielding the tert-butoxycarbonylamidocephalosporanic acid (XXIII). This compound is deacetylated by treatment with citrus acetyl sterase in an aqueous phosphate buffer affording the 3-hydroxymethyl derivative (XXIV), which by reaction with chlorosulfonyl isocyanate gives the 3-carbamoyloxymethyl compound (XXV). The hydrolysis of (XXV) with TFA yields 3-carbamoyloxymethyl-7beta-amino-3-cephem-4-carboxylic acid (XXVI), which is esterified with diphenyldiazomethane in dioxane affording the benzhydryl ester (XXVII). The acylation of (XXVII) with 2-thienylcarbonyl chloride (E) in CH2Cl2 gives the acylated ester (XXVIII), which by methoxylation of (XXVIII) can also be performed through hydroxylation with phenyllithium and tert-butyl hypochlorite (G) in tert-butanol to the 7-hydroxy compound (XXXII), which is then methylated with diazomethane to (XXX). Finally, this compound is hydrolyzed with trifluoroacetic acid.

合成路线图解说明:

By reaction of acylated ester (XXVIII) with PCl5 and methanol in CH2Cl2 is converted into benzhydryl-3-carbamoyloxymethyl-7beta-[1-methoxy-2-(2-thienyl)ethylideneamino]-3-cephem-4-carboxylate (XXIX). The methoxylation of (XXIX) in the 7 position is performed either by reaction with phenyllithium and bis(methyl)peroxide in THF [or with phenyllithium and N-bromosuccinimide to the bromo intermediate (XXXI), which is then treated with silver oxide in methanol] yielding, in both cases, the benzhydryl ester of cefoxitin (XXX). Finally, this compound is hydrolyzed with trifluoroacetic acid.

参考文献No.47591
标题:Process for preparing cephalosporin compounds
作者:Christensen, B.G.; Firestone, R.A.
来源:DD 100956; ES 408970; US 3775410
合成路线图解说明:

The hydrolysis of p-methoxybenzyl-7-aminocephalosporanate (XIV) with trifluoroacetic acid gives the corresponding tree acid (XXII), which is treated with tert-butoxycarbonylazide (F) yielding the tert-butoxycarbonylamidocephalosporanic acid (XXIII). This compound is deacetylated by treatment with citrus acetyl sterase in an aqueous phosphate buffer affording the 3-hydroxymethyl derivative (XXIV), which by reaction with chlorosulfonyl isocyanate gives the 3-carbamoyloxymethyl compound (XXV). The hydrolysis of (XXV) with TFA yields 3-carbamoyloxymethyl-7beta-amino-3-cephem-4-carboxylic acid (XXVI), which is esterified with diphenyldiazomethane in dioxane affording the benzhydryl ester (XXVII). The acylation of (XXVII) with 2-thienylcarbonyl chloride (E) in CH2Cl2 gives the acylated ester (XXVIII), which by methoxylation of (XXVIII) can also be performed through hydroxylation with phenyllithium and tert-butyl hypochlorite (G) in tert-butanol to the 7-hydroxy compound (XXXII), which is then methylated with diazomethane to (XXX). Finally, this compound is hydrolyzed with trifluoroacetic acid.

参考文献No.800571
标题:Cefoxitin
作者:Casta馿r, J.; Loren, J.G.
来源:Drugs Fut 1978,3(6),434
合成路线图解说明:

The reaction of 1,3,5-tribenzylhexahydro-s-triazine (I) with diethyl phosphite (A) at 100 C gives N-benzylaminomethyldiethylphosphonate (II), which is debenzylated with H2 over Pd/C in ethanol yielding aminomethyldiethylphosphonate (III). The reaction of (III) with benzaldehyde (B) affords the Schiff base (IV), which by reaction with p-methoxybenzyl chloroformate (V) by means of phenyllithium in THF is converted into the acylated Schiff base (VI). The benzylidene group of (VI) is eliminated by reaction with 2,4-DNPH p-toluenesulfonate in ethanol, or the free acid in ether giving p-methoxybenzyl alpha-amino-diethylphosphonoacetate (VII), which is condensed with ethyl thionoformate (VIII) yielding the thioformamide (IX). The cyclization of the thioformamide (IX) with 1-chloro-3-acetoxy-2-propanone (X) by means of K2CO3 in acetone affords the thiazine (XI), which by a new cyclization with azidoacetyl chloride (XII) by means of triethylamine in CH2Cl2 is converted into p-methoxybenzyl-3-acetoxymethyl-7-azido-3-cephem-4-carboxylate (XIII). The hydrogenation of (XIII) with H2 over PtO2 in benzene yields the corresponding amino compound (XIV), which is converted into the 7beta-Schiff base (XV) by treatment with p-nitrobenzaldehyde (C) in CH2Cl2.

合成路线图解说明:

The reaction of the Schift base (XV) phenyllithium and CH3SCl (D) in DMF gives the corresponding methylthio derivative (XVI), which is debenzylated with 2,4-DNPH p-toluenesulfonate in ethanol yielding p-methoxybenzyl-7beta-amino-7alpha-thiomethyl-3-acetoxymethyl-3-cephem-4-carboxylate (XVII). The acylation of (XVII) with 2-thienylacetyl chloride (E) / pyridine in CH2Cl2 provided the corresponding 2-thienylacetamido derivative (XVIII), which by methanolysis in the presence of thallium trinitrate gives the 7alpha-methoxy derivative (XIX). The p-methoxybenzyl ester of (XIX) is cleaved with TFA-anisole affording 7alpha-methoxycephalothin-(7alpha-methoxy-7-(2-thienylacetamido)-3-acetoxymethyl-3-cephem-4-carboxylic acid) (XX), which is deacetylated with citrus acetyl enzyme yielding the corresponding hydroxymethyl compound (XXI). Finally, this compound is treated with chlorosulfonyl isocyanate in THF or acetonitrile.

合成路线图解说明:

The hydrolysis of p-methoxybenzyl-7-aminocephalosporanate (XIV) with trifluoroacetic acid gives the corresponding tree acid (XXII), which is treated with tert-butoxycarbonylazide (F) yielding the tert-butoxycarbonylamidocephalosporanic acid (XXIII). This compound is deacetylated by treatment with citrus acetyl sterase in an aqueous phosphate buffer affording the 3-hydroxymethyl derivative (XXIV), which by reaction with chlorosulfonyl isocyanate gives the 3-carbamoyloxymethyl compound (XXV). The hydrolysis of (XXV) with TFA yields 3-carbamoyloxymethyl-7beta-amino-3-cephem-4-carboxylic acid (XXVI), which is esterified with diphenyldiazomethane in dioxane affording the benzhydryl ester (XXVII). The acylation of (XXVII) with 2-thienylcarbonyl chloride (E) in CH2Cl2 gives the acylated ester (XXVIII), which by methoxylation of (XXVIII) can also be performed through hydroxylation with phenyllithium and tert-butyl hypochlorite (G) in tert-butanol to the 7-hydroxy compound (XXXII), which is then methylated with diazomethane to (XXX). Finally, this compound is hydrolyzed with trifluoroacetic acid.

合成路线图解说明:

By reaction of acylated ester (XXVIII) with PCl5 and methanol in CH2Cl2 is converted into benzhydryl-3-carbamoyloxymethyl-7beta-[1-methoxy-2-(2-thienyl)ethylideneamino]-3-cephem-4-carboxylate (XXIX). The methoxylation of (XXIX) in the 7 position is performed either by reaction with phenyllithium and bis(methyl)peroxide in THF [or with phenyllithium and N-bromosuccinimide to the bromo intermediate (XXXI), which is then treated with silver oxide in methanol] yielding, in both cases, the benzhydryl ester of cefoxitin (XXX). Finally, this compound is hydrolyzed with trifluoroacetic acid.

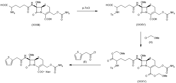
合成路线图解说明:

Fermentation of Streptomyces lactamdurans NRRL-3802 produces sodium 7beta-(D-5-amino-S-carboxyvaleramido)-3-carbamoyloxymethyl-7-methoxy-3-cephem-4-carboxylate (XXXIII), which is tosylated as usual to the N-tosyl derivative (XXXIV). The esterification of (XXXIV) with methyl chloromethyl ether (H) in CH2Cl2 yields the methoxymethyl ester (XXXV), which is finally treated first with 2-thienylcarbonyl chloride (E) on a 4-angstrom molecular sieve in dichloroethane, and then with HCl methanol.

合成路线图解说明:

The acylation and methoxylation of 7-aminocephalosporanic acid (XXII) to (XX) can also be performed as follows: The acid (XXII) is esterified with diphenyldiazomethane in dioxane giving the ester (XXXVI), which is treated with NaNO2 and p-toluenesulfonic acid in CH2Cl2 yielding benzhydryl 7-diazocephalosporanate (XXXVII). The reaction of this compound with BrN3 in CH2Cl2-acetonitrile affords benzhydryl 7alpha-bromo-7beta-azidocephalosporanate (XXXVIII), which by hydrolysis with MeOH and AgBF4 is converted into the corresponding 7beta-methoxy compound (XXXIX). Hydrogenation of the azido group of (XXXIX) with H2 over PtO2 in dioxane gives 7alpha-methoxy-7beta-aminocephalosporanate (XL), which is acylated with 2-thienylcarbonyl chloride (E) in CH2Cl2 affording benzhydryl-7alpha-methoxy-7beta-(2-thienylacetamido)cephalosporanate (XLI). Finally, this compound is hydrolyzed to (XX) with trifluoroacetic acid.

参考文献No.800572
标题:Total synthesis of beta-lactam antibiotics. I. alpha-Thioformamido-diethylphosphonioacetates
作者:Christensen, B.G.; Ratcliffe, R.W.
来源:Tetrahedron Lett 1973,464645-48
合成路线图解说明:

The reaction of 1,3,5-tribenzylhexahydro-s-triazine (I) with diethyl phosphite (A) at 100 C gives N-benzylaminomethyldiethylphosphonate (II), which is debenzylated with H2 over Pd/C in ethanol yielding aminomethyldiethylphosphonate (III). The reaction of (III) with benzaldehyde (B) affords the Schiff base (IV), which by reaction with p-methoxybenzyl chloroformate (V) by means of phenyllithium in THF is converted into the acylated Schiff base (VI). The benzylidene group of (VI) is eliminated by reaction with 2,4-DNPH p-toluenesulfonate in ethanol, or the free acid in ether giving p-methoxybenzyl alpha-amino-diethylphosphonoacetate (VII), which is condensed with ethyl thionoformate (VIII) yielding the thioformamide (IX). The cyclization of the thioformamide (IX) with 1-chloro-3-acetoxy-2-propanone (X) by means of K2CO3 in acetone affords the thiazine (XI), which by a new cyclization with azidoacetyl chloride (XII) by means of triethylamine in CH2Cl2 is converted into p-methoxybenzyl-3-acetoxymethyl-7-azido-3-cephem-4-carboxylate (XIII). The hydrogenation of (XIII) with H2 over PtO2 in benzene yields the corresponding amino compound (XIV), which is converted into the 7beta-Schiff base (XV) by treatment with p-nitrobenzaldehyde (C) in CH2Cl2.

参考文献No.800573
标题:Total synthesis of beta-lactam antibiotics. II. (rac)-Cephalotin
作者:Christensen, B.G.; Ratcliffe, R.W.
来源:Tetrahedron Lett 1973,464649-52
合成路线图解说明:

The reaction of 1,3,5-tribenzylhexahydro-s-triazine (I) with diethyl phosphite (A) at 100 C gives N-benzylaminomethyldiethylphosphonate (II), which is debenzylated with H2 over Pd/C in ethanol yielding aminomethyldiethylphosphonate (III). The reaction of (III) with benzaldehyde (B) affords the Schiff base (IV), which by reaction with p-methoxybenzyl chloroformate (V) by means of phenyllithium in THF is converted into the acylated Schiff base (VI). The benzylidene group of (VI) is eliminated by reaction with 2,4-DNPH p-toluenesulfonate in ethanol, or the free acid in ether giving p-methoxybenzyl alpha-amino-diethylphosphonoacetate (VII), which is condensed with ethyl thionoformate (VIII) yielding the thioformamide (IX). The cyclization of the thioformamide (IX) with 1-chloro-3-acetoxy-2-propanone (X) by means of K2CO3 in acetone affords the thiazine (XI), which by a new cyclization with azidoacetyl chloride (XII) by means of triethylamine in CH2Cl2 is converted into p-methoxybenzyl-3-acetoxymethyl-7-azido-3-cephem-4-carboxylate (XIII). The hydrogenation of (XIII) with H2 over PtO2 in benzene yields the corresponding amino compound (XIV), which is converted into the 7beta-Schiff base (XV) by treatment with p-nitrobenzaldehyde (C) in CH2Cl2.

参考文献No.800574
标题:Total synthesis of beta-lactam antibiotics. III. (rac)-Cefoxitin
作者:Ratcliffe, R.W.; Christensen, B.G.
来源:Tetrahedron Lett 1973,464653-56
合成路线图解说明:

The reaction of the Schift base (XV) phenyllithium and CH3SCl (D) in DMF gives the corresponding methylthio derivative (XVI), which is debenzylated with 2,4-DNPH p-toluenesulfonate in ethanol yielding p-methoxybenzyl-7beta-amino-7alpha-thiomethyl-3-acetoxymethyl-3-cephem-4-carboxylate (XVII). The acylation of (XVII) with 2-thienylacetyl chloride (E) / pyridine in CH2Cl2 provided the corresponding 2-thienylacetamido derivative (XVIII), which by methanolysis in the presence of thallium trinitrate gives the 7alpha-methoxy derivative (XIX). The p-methoxybenzyl ester of (XIX) is cleaved with TFA-anisole affording 7alpha-methoxycephalothin-(7alpha-methoxy-7-(2-thienylacetamido)-3-acetoxymethyl-3-cephem-4-carboxylic acid) (XX), which is deacetylated with citrus acetyl enzyme yielding the corresponding hydroxymethyl compound (XXI). Finally, this compound is treated with chlorosulfonyl isocyanate in THF or acetonitrile.

参考文献No.800580
标题:Preparation of 7-acylaminocephalosporin derivatives
作者:Weinstock, L.M.
来源:DE 2456528; FR 2253022; GB 1480757; JP 50105687
合成路线图解说明:

Fermentation of Streptomyces lactamdurans NRRL-3802 produces sodium 7beta-(D-5-amino-S-carboxyvaleramido)-3-carbamoyloxymethyl-7-methoxy-3-cephem-4-carboxylate (XXXIII), which is tosylated as usual to the N-tosyl derivative (XXXIV). The esterification of (XXXIV) with methyl chloromethyl ether (H) in CH2Cl2 yields the methoxymethyl ester (XXXV), which is finally treated first with 2-thienylcarbonyl chloride (E) on a 4-angstrom molecular sieve in dichloroethane, and then with HCl methanol.

参考文献No.800581
标题:In 7-Stellung substituierte Cephalosphorans鋟reester und Verfahren zu ihrer Herstellung
作者:Christensen, B.G.; et al.
来源:DE 2143331
合成路线图解说明:

The acylation and methoxylation of 7-aminocephalosporanic acid (XXII) to (XX) can also be performed as follows: The acid (XXII) is esterified with diphenyldiazomethane in dioxane giving the ester (XXXVI), which is treated with NaNO2 and p-toluenesulfonic acid in CH2Cl2 yielding benzhydryl 7-diazocephalosporanate (XXXVII). The reaction of this compound with BrN3 in CH2Cl2-acetonitrile affords benzhydryl 7alpha-bromo-7beta-azidocephalosporanate (XXXVIII), which by hydrolysis with MeOH and AgBF4 is converted into the corresponding 7beta-methoxy compound (XXXIX). Hydrogenation of the azido group of (XXXIX) with H2 over PtO2 in dioxane gives 7alpha-methoxy-7beta-aminocephalosporanate (XL), which is acylated with 2-thienylcarbonyl chloride (E) in CH2Cl2 affording benzhydryl-7alpha-methoxy-7beta-(2-thienylacetamido)cephalosporanate (XLI). Finally, this compound is hydrolyzed to (XX) with trifluoroacetic acid.

Drug Information Express,Drug R&D,Chemical Database,Patent Search.
Copyright © 2006-2026 Drug Future. All rights reserved.Contact Us