【药物名称】Moxalactam disodium, Latamoxef sodium, S-6059(free acid), LY-127935, Shiomarin, Moxam
化学结构式(Chemical Structure):
参考文献No.44078
标题:Arylmalonamido-1-oxadethiacephalosporins
作者:Nagata, W.; Narisada, M. (Shionogi & Co. Ltd.)
来源:US 4180571
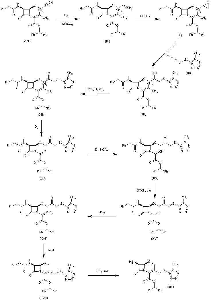
合成路线图解说明:

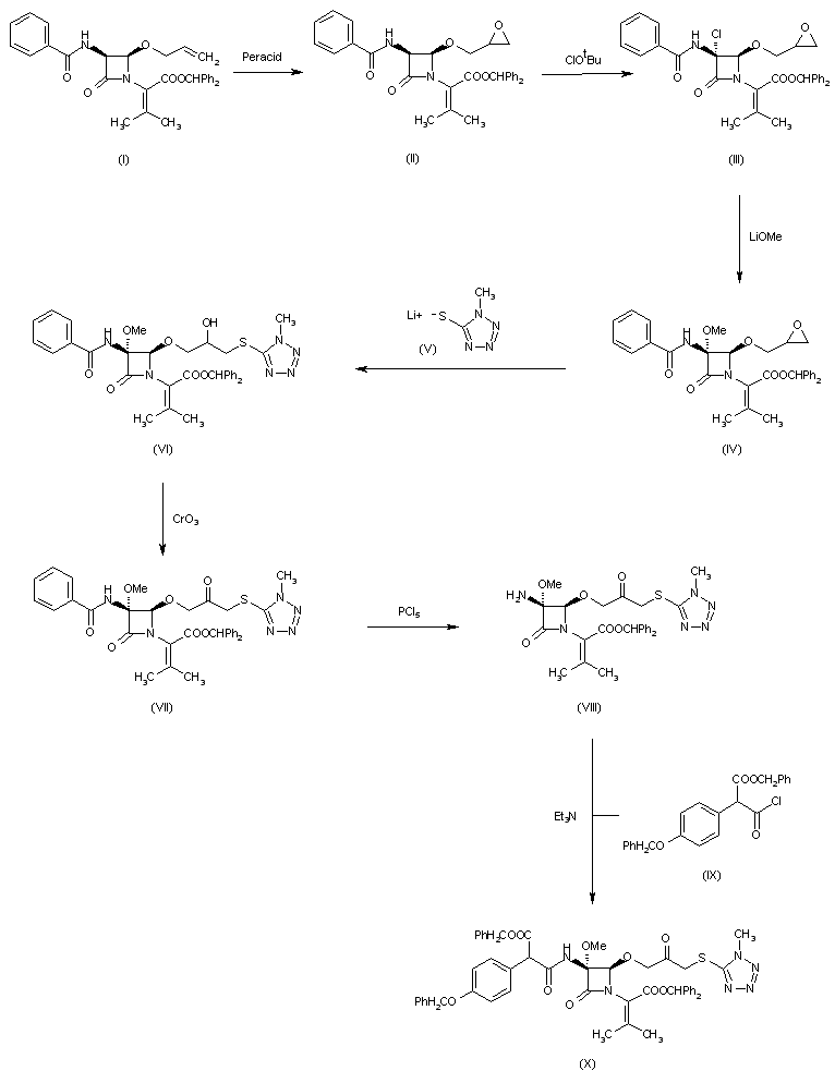
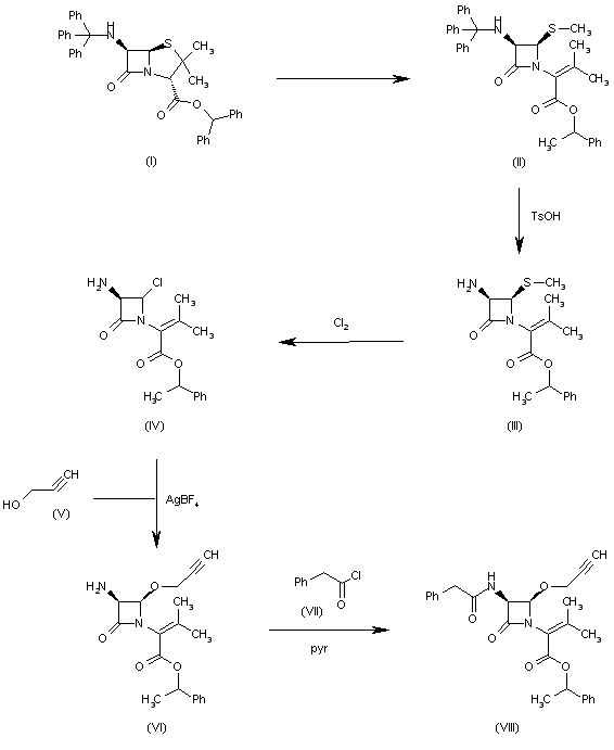
6-(Tritylamino)penicillanic acid (I) is converted into the azetidinone (II), which is treated with p-toluenesulfonic acid to yield the tosylate (III). The chlorination of (III) with Cl2 in carbon tetrachloride affords the 4-chloroazetidinone (IV), which is condensed with propargyl alcohol (V) by means of AgBF4 in THF to give the propargyl ether (VI) as a mixture of cis and trans isomers that is separated by chromatography. The acylation of (VI) with phenylacetyl chloride (VII) and pyridine affords the amide (VIII).

合成路线图解说明:

The partial hydrogenation of (VIII) with H2 over Pd/(CaCO3) in methanol gives the allyl ether (IX), which is epoxidized with MCPBA in dichloromethane yielding epoxide (X). Epoxide cleavage with the lithium salt of 1-methyltetrazole-5-thiol (XI) in THF affords the isopropanol derivative (XII), which is oxidized with CrO3/H2SO4 in acetone giving the ketone (XIII). The ozonolysis of the isopropylidene group of (XIII) with O3 in dichloromethane affords the alpha ketoester (XIV), which is reduced with Zn/AcOH to the alpha hydroxyester (XV). The reaction of (XV) with SOCl2 and pyridine affords the alpha chloroester (XVI), which by reaction with triphenylphosphine in refluxing dichloromethane gives the alpha triphenylphosphoranylidene acetate (XVII). Thermal cyclization of (XVII) in refluxing dioxane affords the oxacephem derivative (XVIII), which is deacylated by reaction with PCl5 and pyridine providing the 7-beta-amino oxacephem derivative (XIX).

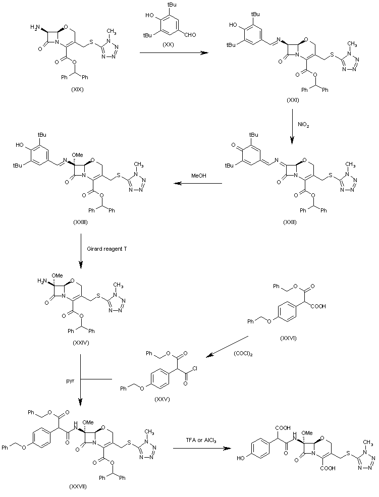
合成路线图解说明:

The reaction of the amino group of (XIX) with 3,5-di-tert-butyl-4-hydroxybenzaldehyde (XX) gives the imine (XXI), which is dehydrogenated with nickel peroxide to the quinomethane (XXII). Addition of methanol to (XXII) yields the 7-alpha-amino compound (XXIII), which is treated with Girard reagent T to afford the 7-beta-amino-7-alpha-methoxyoxacepehem compound (XXIV). The acylation of the NH2 group of (XXIV) with 2-(benzyloxycarbonyl)-2-[4-benzyloxy)phenyl)acetyl chloride (XXV) (obtained by reaction of the corresponding acid (XXVI) with oxalyl chloride) gives the expected amide (XXVII), which is finally deprotected with TFA/anisole or AlCl3/anisole.

参考文献No.44079
标题:Arylmalonamido-1-oxadethiacephalosporins
作者:Narisada, M.; Nagata, W. (Shionogi & Co. Ltd.)
来源:DE 2713370; US 4138486
合成路线图解说明:

6-(Tritylamino)penicillanic acid (I) is converted into the azetidinone (II), which is treated with p-toluenesulfonic acid to yield the tosylate (III). The chlorination of (III) with Cl2 in carbon tetrachloride affords the 4-chloroazetidinone (IV), which is condensed with propargyl alcohol (V) by means of AgBF4 in THF to give the propargyl ether (VI) as a mixture of cis and trans isomers that is separated by chromatography. The acylation of (VI) with phenylacetyl chloride (VII) and pyridine affords the amide (VIII).

合成路线图解说明:

The partial hydrogenation of (VIII) with H2 over Pd/(CaCO3) in methanol gives the allyl ether (IX), which is epoxidized with MCPBA in dichloromethane yielding epoxide (X). Epoxide cleavage with the lithium salt of 1-methyltetrazole-5-thiol (XI) in THF affords the isopropanol derivative (XII), which is oxidized with CrO3/H2SO4 in acetone giving the ketone (XIII). The ozonolysis of the isopropylidene group of (XIII) with O3 in dichloromethane affords the alpha ketoester (XIV), which is reduced with Zn/AcOH to the alpha hydroxyester (XV). The reaction of (XV) with SOCl2 and pyridine affords the alpha chloroester (XVI), which by reaction with triphenylphosphine in refluxing dichloromethane gives the alpha triphenylphosphoranylidene acetate (XVII). Thermal cyclization of (XVII) in refluxing dioxane affords the oxacephem derivative (XVIII), which is deacylated by reaction with PCl5 and pyridine providing the 7-beta-amino oxacephem derivative (XIX).

合成路线图解说明:

The reaction of the amino group of (XIX) with 3,5-di-tert-butyl-4-hydroxybenzaldehyde (XX) gives the imine (XXI), which is dehydrogenated with nickel peroxide to the quinomethane (XXII). Addition of methanol to (XXII) yields the 7-alpha-amino compound (XXIII), which is treated with Girard reagent T to afford the 7-beta-amino-7-alpha-methoxyoxacepehem compound (XXIV). The acylation of the NH2 group of (XXIV) with 2-(benzyloxycarbonyl)-2-[4-benzyloxy)phenyl)acetyl chloride (XXV) (obtained by reaction of the corresponding acid (XXVI) with oxalyl chloride) gives the expected amide (XXVII), which is finally deprotected with TFA/anisole or AlCl3/anisole.

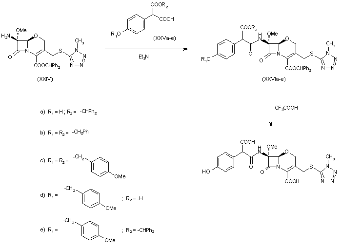
合成路线图解说明:

1) By condensation of benzhydryl (6R,7R)-7-amino-7-methoxy-3-[[(1-methyl-1H-1,2,3,4-tetraazol-5-yl)sulfanyl]methyl]-8-oxo-5-oxa-1-azabicyclo[4.2.0]oct-2-ene-2-carboxylate (XXIV) with alpha-diphenylmethoxycarbonyl-alpha-(p-hydroxyphenyl)acetic acid (XXVa) by means of Et3N and oxalyl chloride in methylene chloride gives the 7-[alpha-diphenylmethoxycarbonyl-alpha-(p-hydroxyphenyl)acetamido]-7alpha-methoxy compound (XXVIa). Finally, all the protecting groups of (XXVIa) are eliminated by treatment with trifluoroacetic acid in anisole. 2) Compound (XXIV) can also be condensed with alpha-(p-benzyloxyphenyl)malonic acid monobenzyl ester (XXVb) by means of Et3N and oxalyl chloride in methylene chloride yielding the 7beta-[alpha-(p-benzyloxyphenyl)-alpha-benzyloxycarbonylacetamido]-7alpha-methoxy compound (XXVIb), which is hydrolyzed with trifluoroacetic acid in anisole. 3) Compound (XXIV) can also be condensed with alpha-(p-methoxybenzyl)oxycarbonyl-alpha-[p-(p-methoxybenzyl)oxyphenylacetic acid (XXVc) by means of Et3N and oxalyl chloride in methylene chloride giving the corresponding derivative (XXVIc), which can be hydrolyzed with trifluoroacetic acid in anisole. 4) Finally, compound (XXIV) can also be condensed with p-(p-methoxybenzyloxy)phenylmalonic acid (XXVd) by means of Et3N and oxalyl chloride in methylene chloride affording compound (XXVId), which is hydrolyzed with trifluoroacetic in anisole. 5) Compound (XXIV) can also be condensed with alpha-diphenylmethoxycarbonyl-p-(p-methoxybenzyl)oxyphenylacetic acid (XXVe) by means of Et3N and oxalyl chloride in methylene chloride affording the corresponding derivative (XXVIe), which is hydrolyzed with trifluoroacetic acid in anisole.

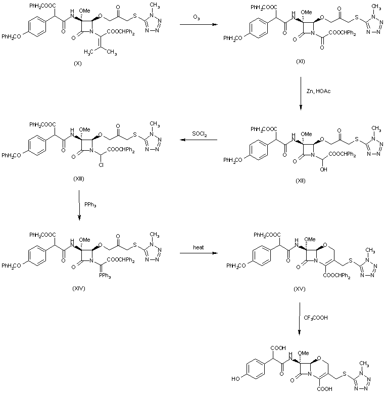
合成路线图解说明:

The epoxidation of alpha-(3beta-benzamido-4beta-allyloxy-2-oxoazetidin-1-yl)-alpha-isopropylilideneacetic acid diphenylmethyl ester (I) with a peracid gives the corresponding epoxide in the allyl group (II), which is chlorinated with tert-butyl hypochlorite affording the chloro epoxide (III). The methoxylation of (III) with lithium methoxide yields the 3beta-benzamido-3alpha-methoxy derivative (IV), which is condensed with lithium 1-methyltetrazol-5-ylmercaptide (V) to afford the tetrazol derivative (VI). The oxidation of (VI) with CrO3 affords the ketonic compound (VII), which is debenzoylated by treatment with PCl5, MeOH and triethylamine giving alpha-[3beta-amino-3alpha-methoxy-4beta-[3-(1-methyltetrazol-5-yl)thiomethyl-2-oxopropoxy]-2-oxoazetidine-1-yl]-alpha-isopropylidieneacetic acid diphenylmethyl ester (VIII). The condensation of (VIII) with alpha-(p-benzyloxyphenyl)-alpha-(benzyloxycarbonyl)acetyl chloride (IX) by means of triethylamine affords the 3beta-[alpha-(benzyloxyphenyl)-alpha-(benzyloxycarbonyl)acetamido] derivative (XX).

合成路线图解说明:

The isopropylidene group of (X) is oxidized with ozone affording the corresponding diketonic compound (XI), which is reduced selectively with Zn and acetic acid yielding the hydroxy ketone (XII). The reaction of (XII) with SOCl2 affords the corresponding chloro ketone (XIII), which is treated with triphenylphosphine in a basic medium to give alpha-[3beta-[alpha-(p-benzyloxyphenyl)-alpha-(benzyloxycarbonyl)acetamido]-3alpha-methoxy-4beta-[-3-(1-methyltetrazol-5-yl)thiomethyl-2-oxopropoxy]-2-oxoazetidine-1-yl]-alpha-triphenylphosphoranylideneacetic acid diphenylmethyl ester (XIV). Finally, this compound is treated with refluxing dioxane affording the protected 1-oxa-dethia-3-cephem compound (XV), which is deprotected with trifluoroacetic acid in anisole.

参考文献No.585194
标题:Synthetic studies on beta-lactam antibiotics. Part 5. A synthesis of 7beta-acylamino-3-methyl-1-oxadethia-3-cephem-4-carboxylic acids
作者:Narisada, M.; et al.
来源:Heterocycles 1977,7(2),839
合成路线图解说明:

6-(Tritylamino)penicillanic acid (I) is converted into the azetidinone (II), which is treated with p-toluenesulfonic acid to yield the tosylate (III). The chlorination of (III) with Cl2 in carbon tetrachloride affords the 4-chloroazetidinone (IV), which is condensed with propargyl alcohol (V) by means of AgBF4 in THF to give the propargyl ether (VI) as a mixture of cis and trans isomers that is separated by chromatography. The acylation of (VI) with phenylacetyl chloride (VII) and pyridine affords the amide (VIII).

参考文献No.585199
标题:Synthetic studies on beta-lactam antibiotics. Part 10. Synthesis of 7beta-[2-carboxy-2-(4-hydroxyphenyl)acetamido]-7alpha-methoxy-3-[[(1-methyl-1H-tetrazol-5-yl)thio]methyl]-1-oxa-1-dethia-3-cephem-4-carboxylic acid disodium salt (6059-S) and its related
作者:Narisada, M.; Yoshida, T.; Onoue, H.; Ohtani, M.; Okada, T.; Tsuji, T.; Kikkawa, I.; Haga, N.; Satoh, H.; Itani, H.; Nagata, W.
来源:J Med Chem 1979,22(7),757
合成路线图解说明:

The partial hydrogenation of (VIII) with H2 over Pd/(CaCO3) in methanol gives the allyl ether (IX), which is epoxidized with MCPBA in dichloromethane yielding epoxide (X). Epoxide cleavage with the lithium salt of 1-methyltetrazole-5-thiol (XI) in THF affords the isopropanol derivative (XII), which is oxidized with CrO3/H2SO4 in acetone giving the ketone (XIII). The ozonolysis of the isopropylidene group of (XIII) with O3 in dichloromethane affords the alpha ketoester (XIV), which is reduced with Zn/AcOH to the alpha hydroxyester (XV). The reaction of (XV) with SOCl2 and pyridine affords the alpha chloroester (XVI), which by reaction with triphenylphosphine in refluxing dichloromethane gives the alpha triphenylphosphoranylidene acetate (XVII). Thermal cyclization of (XVII) in refluxing dioxane affords the oxacephem derivative (XVIII), which is deacylated by reaction with PCl5 and pyridine providing the 7-beta-amino oxacephem derivative (XIX).

合成路线图解说明:

The reaction of the amino group of (XIX) with 3,5-di-tert-butyl-4-hydroxybenzaldehyde (XX) gives the imine (XXI), which is dehydrogenated with nickel peroxide to the quinomethane (XXII). Addition of methanol to (XXII) yields the 7-alpha-amino compound (XXIII), which is treated with Girard reagent T to afford the 7-beta-amino-7-alpha-methoxyoxacepehem compound (XXIV). The acylation of the NH2 group of (XXIV) with 2-(benzyloxycarbonyl)-2-[4-benzyloxy)phenyl)acetyl chloride (XXV) (obtained by reaction of the corresponding acid (XXVI) with oxalyl chloride) gives the expected amide (XXVII), which is finally deprotected with TFA/anisole or AlCl3/anisole.

参考文献No.800526
标题:S-6059
作者:Serradell, M.N.; Blancafort, P.; Casta馿r, J.
来源:Drugs Fut 1979,4(9),667
合成路线图解说明:

1) By condensation of benzhydryl (6R,7R)-7-amino-7-methoxy-3-[[(1-methyl-1H-1,2,3,4-tetraazol-5-yl)sulfanyl]methyl]-8-oxo-5-oxa-1-azabicyclo[4.2.0]oct-2-ene-2-carboxylate (XXIV) with alpha-diphenylmethoxycarbonyl-alpha-(p-hydroxyphenyl)acetic acid (XXVa) by means of Et3N and oxalyl chloride in methylene chloride gives the 7-[alpha-diphenylmethoxycarbonyl-alpha-(p-hydroxyphenyl)acetamido]-7alpha-methoxy compound (XXVIa). Finally, all the protecting groups of (XXVIa) are eliminated by treatment with trifluoroacetic acid in anisole. 2) Compound (XXIV) can also be condensed with alpha-(p-benzyloxyphenyl)malonic acid monobenzyl ester (XXVb) by means of Et3N and oxalyl chloride in methylene chloride yielding the 7beta-[alpha-(p-benzyloxyphenyl)-alpha-benzyloxycarbonylacetamido]-7alpha-methoxy compound (XXVIb), which is hydrolyzed with trifluoroacetic acid in anisole. 3) Compound (XXIV) can also be condensed with alpha-(p-methoxybenzyl)oxycarbonyl-alpha-[p-(p-methoxybenzyl)oxyphenylacetic acid (XXVc) by means of Et3N and oxalyl chloride in methylene chloride giving the corresponding derivative (XXVIc), which can be hydrolyzed with trifluoroacetic acid in anisole. 4) Finally, compound (XXIV) can also be condensed with p-(p-methoxybenzyloxy)phenylmalonic acid (XXVd) by means of Et3N and oxalyl chloride in methylene chloride affording compound (XXVId), which is hydrolyzed with trifluoroacetic in anisole. 5) Compound (XXIV) can also be condensed with alpha-diphenylmethoxycarbonyl-p-(p-methoxybenzyl)oxyphenylacetic acid (XXVe) by means of Et3N and oxalyl chloride in methylene chloride affording the corresponding derivative (XXVIe), which is hydrolyzed with trifluoroacetic acid in anisole.

合成路线图解说明:

The epoxidation of alpha-(3beta-benzamido-4beta-allyloxy-2-oxoazetidin-1-yl)-alpha-isopropylilideneacetic acid diphenylmethyl ester (I) with a peracid gives the corresponding epoxide in the allyl group (II), which is chlorinated with tert-butyl hypochlorite affording the chloro epoxide (III). The methoxylation of (III) with lithium methoxide yields the 3beta-benzamido-3alpha-methoxy derivative (IV), which is condensed with lithium 1-methyltetrazol-5-ylmercaptide (V) to afford the tetrazol derivative (VI). The oxidation of (VI) with CrO3 affords the ketonic compound (VII), which is debenzoylated by treatment with PCl5, MeOH and triethylamine giving alpha-[3beta-amino-3alpha-methoxy-4beta-[3-(1-methyltetrazol-5-yl)thiomethyl-2-oxopropoxy]-2-oxoazetidine-1-yl]-alpha-isopropylidieneacetic acid diphenylmethyl ester (VIII). The condensation of (VIII) with alpha-(p-benzyloxyphenyl)-alpha-(benzyloxycarbonyl)acetyl chloride (IX) by means of triethylamine affords the 3beta-[alpha-(benzyloxyphenyl)-alpha-(benzyloxycarbonyl)acetamido] derivative (XX).

合成路线图解说明:

The isopropylidene group of (X) is oxidized with ozone affording the corresponding diketonic compound (XI), which is reduced selectively with Zn and acetic acid yielding the hydroxy ketone (XII). The reaction of (XII) with SOCl2 affords the corresponding chloro ketone (XIII), which is treated with triphenylphosphine in a basic medium to give alpha-[3beta-[alpha-(p-benzyloxyphenyl)-alpha-(benzyloxycarbonyl)acetamido]-3alpha-methoxy-4beta-[-3-(1-methyltetrazol-5-yl)thiomethyl-2-oxopropoxy]-2-oxoazetidine-1-yl]-alpha-triphenylphosphoranylideneacetic acid diphenylmethyl ester (XIV). Finally, this compound is treated with refluxing dioxane affording the protected 1-oxa-dethia-3-cephem compound (XV), which is deprotected with trifluoroacetic acid in anisole.

Drug Information Express,Drug R&D,Chemical Database,Patent Search.
Copyright © 2006-2026 Drug Future. All rights reserved.Contact Us