【药物名称】Phenylephrine hydrochloride, SLV-325, Incostop, Neo-Synephrine hydrochloride, Nostril, Mydfrin, Biomydrin, Alcon Efrin
化学结构式(Chemical Structure):
参考文献No.567288
标题:A practical synthesis of (R)-(-)-phenylephrine hydrochloride
作者:Gurjar, M.K.; et al.
来源:Org Process Res Dev 1998,2(6),422
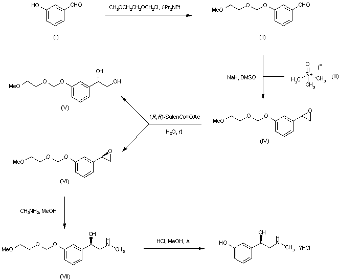
合成路线图解说明:

3-Hydroxybenzaldehyde (I) was protected as the methoxyethoxymethyl ether derivative (II) by treatment with methoxyethoxymethyl chloride and diisopropyl ethyl amine. Subsequent condensation of (II) with dimethyloxosulfonium methylide, generated from oxosulfonium salt (III) and NaH, gave rise to the racemic epoxide (IV). Kinetic resolution by hydrolysis with (R,R)-N,N'-bis(3,5-di-tert-butylsalicylidene)-1,2-cyclohexanediaminocobalt (III) acetate complex provided the (S)-diol (V) along with the unreacted (R)-epoxide (VI), which were separated by column chromatography. Opening of the desired (R)-epoxide (VI) with methanolic methylamine gave amino alcohol (VII). Finally, removal of the methoxyethoxymethyl group by refluxing in methanolic HCl furnished the title compound.

Drug Information Express,Drug R&D,Chemical Database,Patent Search.
Copyright © 2006-2026 Drug Future. All rights reserved.Contact Us