【药物名称】WB-4101
化学结构式(Chemical Structure):
参考文献No.608340
标题:Synthesis and pharmacological properties of a series of 2-(substituted-aminoethyl)-1,4-benzodioxanes
作者:Green, P.N.; Shapero, M.; Wilson, C.
来源:J Med Chem 1969,12(2),326-329
合成路线图解说明:

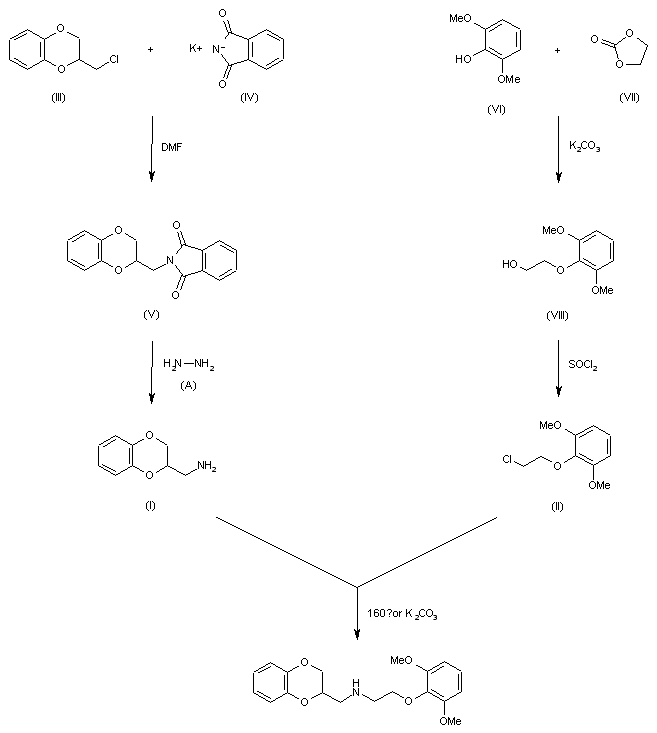
By condensation of 2-aminomethyl-1,4-benzodioxane (I) with 2,6-dimethoxyphenoxyethyl chloride (II) performed by heating at 160 C or by means of K2CO3 in refluxing CHCl3 - water. The starting products (I) and (II) are prepared as follows: 1) The reaction of 2-chloromethyl-1,4-benzodioxane (III) with potassium phthalimide (IV) in refluxing DMF gives 2-phthalimidomethyl-1,4-benzodioxane (V), which is then treated with hydrazine hydrate (A) in refluxing 2-ethoxyethanol to give (I). 2) The condensation of 2,6-dimethoxyphenol (VI) with ethylene carbonate (VII) by means of K2CO3 in refluxing toluene gives 2,6-dimethoxyphenoxyethanol (VIII), which is then refluxed with SOCl2 to afford (II).

参考文献No.701447
标题:
作者:
来源:US 3472874
合成路线图解说明:

By condensation of 2-aminomethyl-1,4-benzodioxane (I) with 2,6-dimethoxyphenoxyethyl chloride (II) performed by heating at 160 C or by means of K2CO3 in refluxing CHCl3 - water. The starting products (I) and (II) are prepared as follows: 1) The reaction of 2-chloromethyl-1,4-benzodioxane (III) with potassium phthalimide (IV) in refluxing DMF gives 2-phthalimidomethyl-1,4-benzodioxane (V), which is then treated with hydrazine hydrate (A) in refluxing 2-ethoxyethanol to give (I). 2) The condensation of 2,6-dimethoxyphenol (VI) with ethylene carbonate (VII) by means of K2CO3 in refluxing toluene gives 2,6-dimethoxyphenoxyethanol (VIII), which is then refluxed with SOCl2 to afford (II).

参考文献No.800510
标题:WB-4101
作者:Casta馿r, J.; Serradell, M.N.; Hillier, K.; Blancafort, P.
来源:Drugs Fut 1979,4(5),369
合成路线图解说明:

By condensation of 2-aminomethyl-1,4-benzodioxane (I) with 2,6-dimethoxyphenoxyethyl chloride (II) performed by heating at 160 C or by means of K2CO3 in refluxing CHCl3 - water. The starting products (I) and (II) are prepared as follows: 1) The reaction of 2-chloromethyl-1,4-benzodioxane (III) with potassium phthalimide (IV) in refluxing DMF gives 2-phthalimidomethyl-1,4-benzodioxane (V), which is then treated with hydrazine hydrate (A) in refluxing 2-ethoxyethanol to give (I). 2) The condensation of 2,6-dimethoxyphenol (VI) with ethylene carbonate (VII) by means of K2CO3 in refluxing toluene gives 2,6-dimethoxyphenoxyethanol (VIII), which is then refluxed with SOCl2 to afford (II).

Drug Information Express,Drug R&D,Chemical Database,Patent Search.
Copyright © 2006-2026 Drug Future. All rights reserved.Contact Us