【药物名称】Sofalcone, Solon
化学结构式(Chemical Structure):
参考文献No.47222
标题:2-(Carboxymethoxy)chalcones
作者:Kyogoku, K.; Hatayama, K.; Yokomori, S.; Sawada, J.; Tanaka, I. (Taisho Pharmaceutical Co., Ltd.)
来源:DE 2705603; ES 455620; FR 2340924; GB 1523241; JP 52097950; US 4085135
合成路线图解说明:

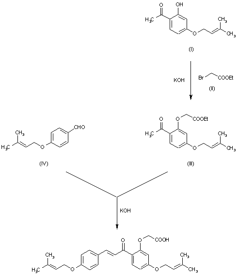
The reaction of 2-hydroxy-4-(3-methyl-2-butenyloxy)acetophenone (I) with ethyl bromoacetate (II) by means of KOH in acetone gives 2-ethoxycarbonylmethoxy-4-(3-methyl-2-butenyloxy)acetophenone (III), which is then condensed with 4-(3-methyl-2-butenyloxy)benzaldehyde (IV) by means of KOH in ethanol.

参考文献No.800357
标题:SU-88
作者:Grau, M.; Casta馿r, J.; Blancafort, P.; Serradell, M.N.
来源:Drugs Fut 1983,8(6),513
合成路线图解说明:

The reaction of 2-hydroxy-4-(3-methyl-2-butenyloxy)acetophenone (I) with ethyl bromoacetate (II) by means of KOH in acetone gives 2-ethoxycarbonylmethoxy-4-(3-methyl-2-butenyloxy)acetophenone (III), which is then condensed with 4-(3-methyl-2-butenyloxy)benzaldehyde (IV) by means of KOH in ethanol.

Drug Information Express,Drug R&D,Chemical Database,Patent Search.
Copyright © 2006-2026 Drug Future. All rights reserved.Contact Us